🇳🇴 🇬🇧 🇩🇪 🇨🇿 🇫🇮

Meteor Hönöin yllä 2024-12-09 22:18:25 UTC

KML-tiedosto  |  Interaktiivinen kartta

Kartta näyttää meteorin suuntahavainnot. Vaaleammat viivat näyttävät suunnat havaintoasemilta meteorin ilmestyessä, ja tummemmat viivat näyttävät, missä se viimeksi nähtiin. Sininen nuoli näyttää meteorin näkyvän lennon.

static map
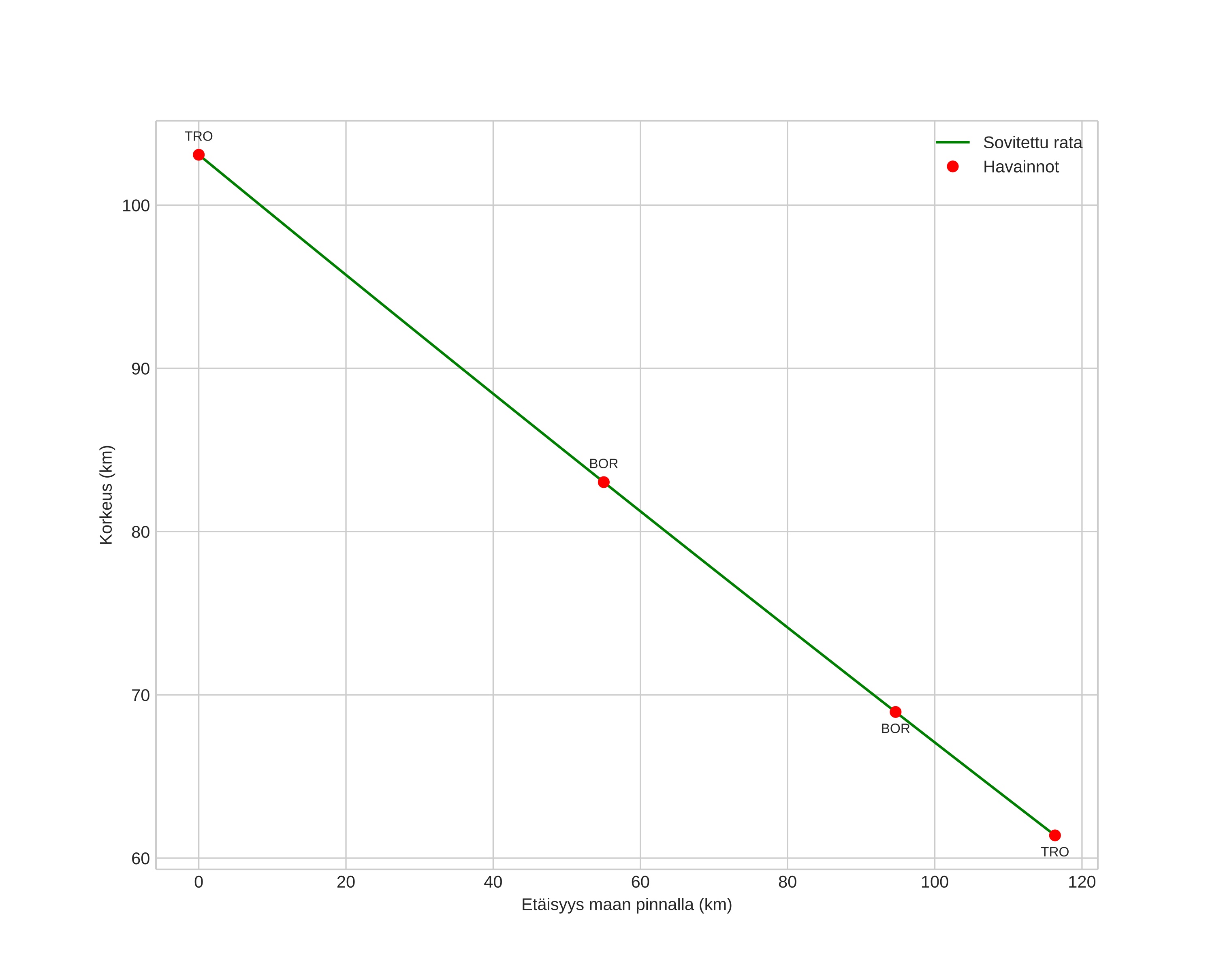
height profile
Meteorin ilmakehärata:
Alkukorkeus: 101,8 km
Loppukorkeus: 60,5 km
Alkupiste: 57,270N 13,100E
Loppupiste: 57,708N 11,343E
Suunta: 295,6°
Kallistuskulma: 19,6°
Tulonopeus: 65,2 km/s
Radiantin R,A,: 08:19 (124,9°)
Radiantin Dekl,: 3,1°
Meteoriparvi: Sigma-hydridit
Meteoroidin rataelementit:
Perihelietäisyys: 0,287 AU
Eksentrisyys: 1,146
Inklinaatio: 131,9°
Nousevan solmun pituus: 78,0°
Perihelin argumentti: 109,1°
Keskianomalia: -11,5°
Epookki: 2024 DEC 09 22:18:25
orbit plot

Ei-interaktiivinen kuvaaja | Interaktiivinen kuvaaja

position vs time
speed and acceleration