🇳🇴 🇬🇧 🇩🇪 🇨🇿 🇫🇮

Meteor, poloha: LangevĂĄg 2024-12-09 23:18:19 UTC

Soubor KML  |  InteraktivnĂ­ mapa

Mapa zobrazuje dráhy meteoru. Světlejší čáry ukazují směry od pozorovacích stanic při objevení se meteoru a tmavší čáry, kde byl naposledy viděn. Modrá šipka značí viditelnou dráhu meteoru.

static map
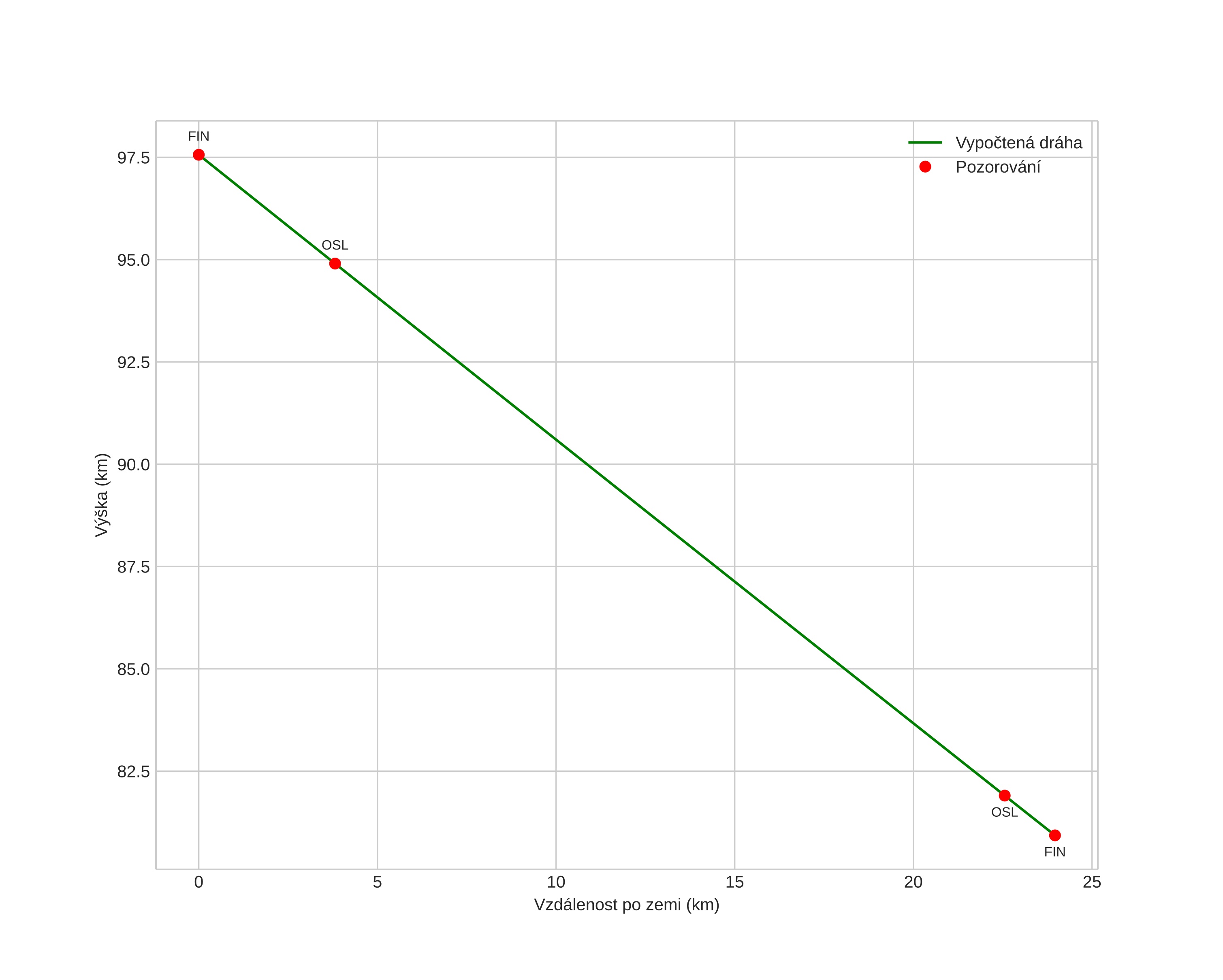
height profile
Atmosférická dráha meteoru:
Počáteční výška: 101,0 km
Konečná výška: 81,3 km
Počáteční poloha: 62,176N 6,618E
Konečná poloha: 62,406N 6,326E
Směr: 329,6°
Sklon: 33,6°
VstupnĂ­ rychlost: 42,0 km/s
Rektascenze radiantu: 06:40 (100,2°)
Deklinace radiantu: 7,8°
MeteorickĂ˝ roj: Monocerotidy
Elementy dráhy meteoroidu:
Vzdálenost v periheliu: 0,194 AU
Excentricita: 0,970
Sklon dráhy: 34,8°
Délka vzestupného uzlu: 78,0°
Argument perihelia: 129,1°
Střední anomálie: 357,9°
Epocha: 2024 DEC 09 23:18:19
orbit plot

NeinteraktivnĂ­ graf | InteraktivnĂ­ graf

position vs time
speed and acceleration