🇳🇴 🇬🇧 🇩🇪 🇨🇿 🇫🇮

Meteor Langevågin yllä 2024-12-09 23:18:19 UTC

KML-tiedosto  |  Interaktiivinen kartta

Kartta näyttää meteorin suuntahavainnot. Vaaleammat viivat näyttävät suunnat havaintoasemilta meteorin ilmestyessä, ja tummemmat viivat näyttävät, missä se viimeksi nähtiin. Sininen nuoli näyttää meteorin näkyvän lennon.

static map
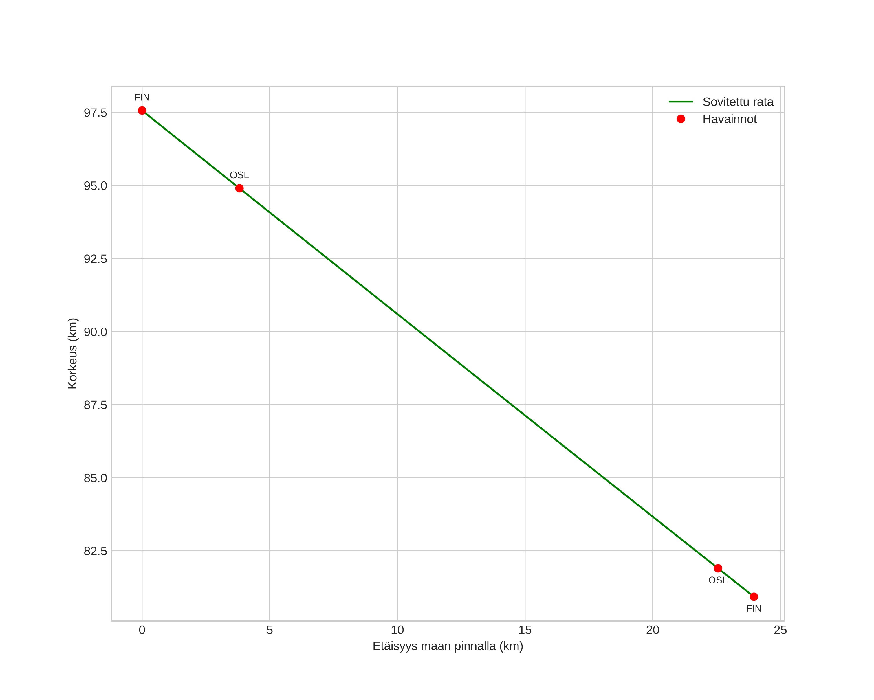
height profile
Meteorin ilmakehärata:
Alkukorkeus: 101,0 km
Loppukorkeus: 81,3 km
Alkupiste: 62,176N 6,618E
Loppupiste: 62,406N 6,326E
Suunta: 329,6°
Kallistuskulma: 33,6°
Tulonopeus: 42,0 km/s
Radiantin R,A,: 06:40 (100,2°)
Radiantin Dekl,: 7,8°
Meteoriparvi: Monoserotidit
Meteoroidin rataelementit:
Perihelietäisyys: 0,194 AU
Eksentrisyys: 0,970
Inklinaatio: 34,8°
Nousevan solmun pituus: 78,0°
Perihelin argumentti: 129,1°
Keskianomalia: 357,9°
Epookki: 2024 DEC 09 23:18:19
orbit plot

Ei-interaktiivinen kuvaaja | Interaktiivinen kuvaaja

position vs time
speed and acceleration