🇳🇴 🇬🇧 🇩🇪 🇨🇿 🇫🇮

Meteor, poloha: Kisa 2024-12-10 02:40:29 UTC

Soubor KML  |  InteraktivnĂ­ mapa

Mapa zobrazuje dráhy meteoru. Světlejší čáry ukazují směry od pozorovacích stanic při objevení se meteoru a tmavší čáry, kde byl naposledy viděn. Modrá šipka značí viditelnou dráhu meteoru.

static map
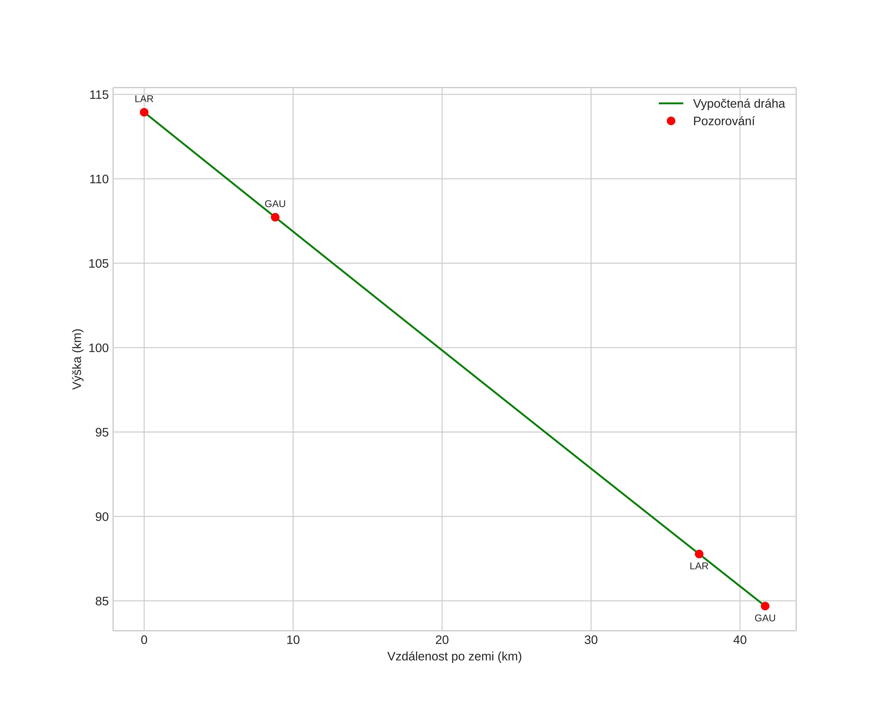
height profile
Atmosférická dráha meteoru:
Počáteční výška: 113,7 km
Konečná výška: 83,9 km
Počáteční poloha: 57,618N 15,643E
Konečná poloha: 57,989N 15,798E
Směr: 12,5°
Sklon: 35,2°
VstupnĂ­ rychlost: 64,0 km/s
Rektascenze radiantu: 08:16 (124,2°)
Deklinace radiantu: 3,0°
MeteorickĂ˝ roj: Sigma Hydridy
Elementy dráhy meteoroidu:
Vzdálenost v periheliu: 0,270 AU
Excentricita: 1,123
Sklon dráhy: 129,3°
Délka vzestupného uzlu: 78,2°
Argument perihelia: 111,8°
Střední anomálie: -9,8°
Epocha: 2024 DEC 10 02:40:29
orbit plot

NeinteraktivnĂ­ graf | InteraktivnĂ­ graf

position vs time
speed and acceleration

Gaustatoppen (GAU) cam3

gnomonic
Videa
• Původní
Obrázky
• Původní
Textové soubory
• Detekce
• Pozorování
• Souřadnice
• Protokol
Jasnost