🇳🇴 🇬🇧 🇩🇪 🇨🇿 🇫🇮

Meteor Kisan yllä 2024-12-10 02:40:29 UTC

KML-tiedosto  |  Interaktiivinen kartta

Kartta näyttää meteorin suuntahavainnot. Vaaleammat viivat näyttävät suunnat havaintoasemilta meteorin ilmestyessä, ja tummemmat viivat näyttävät, missä se viimeksi nähtiin. Sininen nuoli näyttää meteorin näkyvän lennon.

static map
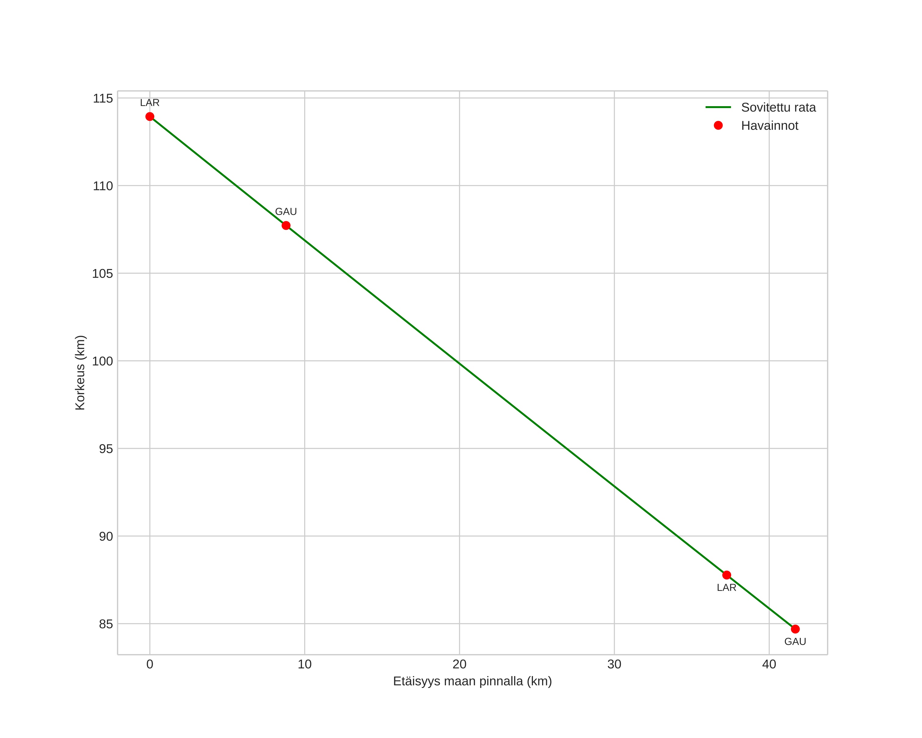
height profile
Meteorin ilmakehärata:
Alkukorkeus: 113,7 km
Loppukorkeus: 83,9 km
Alkupiste: 57,618N 15,643E
Loppupiste: 57,989N 15,798E
Suunta: 12,5°
Kallistuskulma: 35,2°
Tulonopeus: 64,0 km/s
Radiantin R,A,: 08:16 (124,2°)
Radiantin Dekl,: 3,0°
Meteoriparvi: Sigma-hydridit
Meteoroidin rataelementit:
Perihelietäisyys: 0,270 AU
Eksentrisyys: 1,123
Inklinaatio: 129,3°
Nousevan solmun pituus: 78,2°
Perihelin argumentti: 111,8°
Keskianomalia: -9,8°
Epookki: 2024 DEC 10 02:40:29
orbit plot

Ei-interaktiivinen kuvaaja | Interaktiivinen kuvaaja

position vs time
speed and acceleration

Gaustatoppen (GAU) cam3

gnomonic
Videot:
• Alkuperäinen
Kuvat:
• Alkuperäinen
Tekstitiedostot:
• Havaintoraportti
• Observaatio
• Koordinaatit
• Loki
Kirkkaus