🇳🇴 🇬🇧 🇩🇪 🇨🇿 🇫🇮

Meteor, poloha: Kil 2024-12-10 03:12:19 UTC

Soubor KML  |  InteraktivnĂ­ mapa

Mapa zobrazuje dráhy meteoru. Světlejší čáry ukazují směry od pozorovacích stanic při objevení se meteoru a tmavší čáry, kde byl naposledy viděn. Modrá šipka značí viditelnou dráhu meteoru.

static map
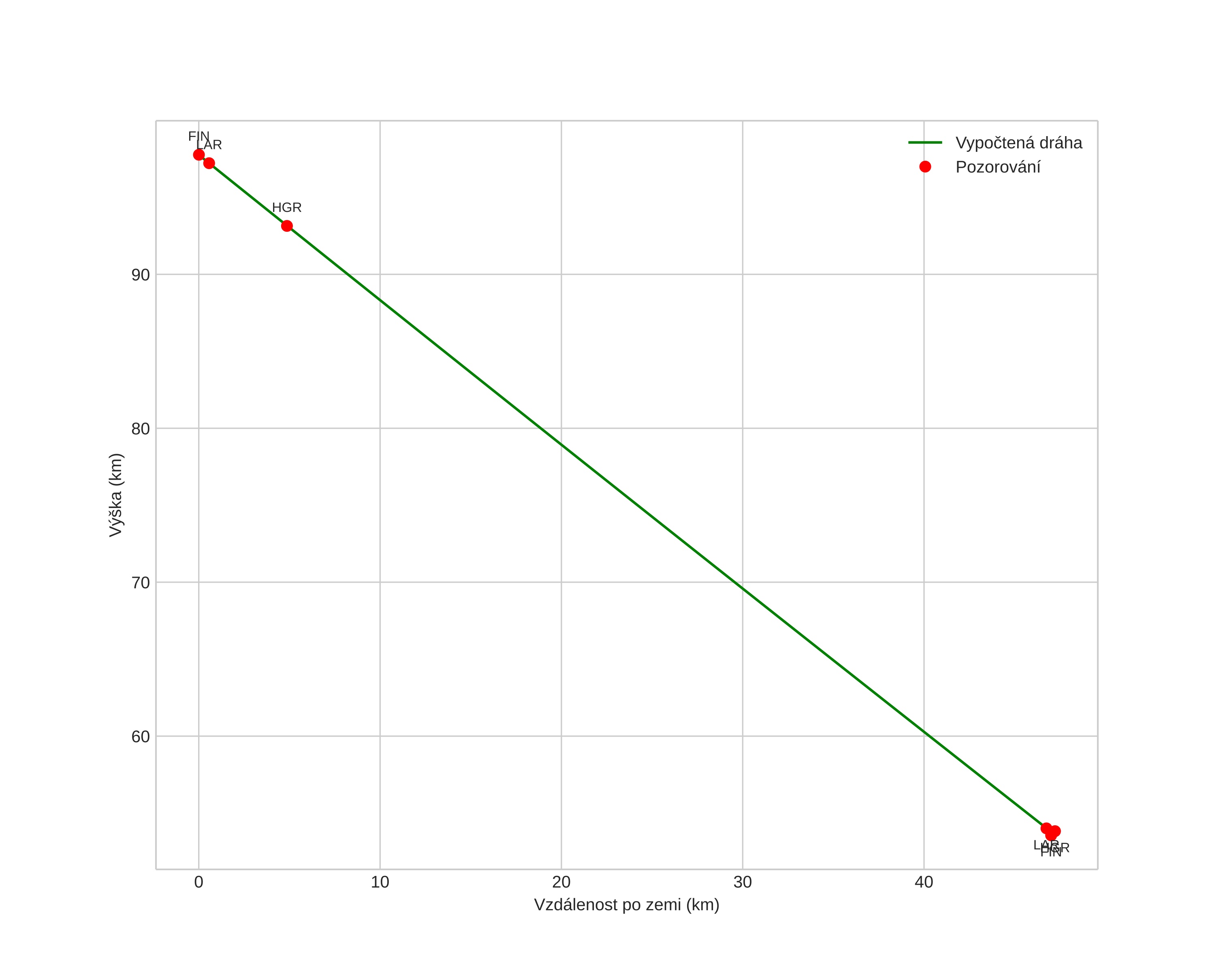
height profile
Atmosférická dráha meteoru:
Počáteční výška: 98,7 km
Konečná výška: 53,6 km
Počáteční poloha: 59,283N 12,503E
Konečná poloha: 59,394N 13,322E
Směr: 74,7°
Sklon: 43,2°
VstupnĂ­ rychlost: 27,4 km/s
Rektascenze radiantu: 05:35 (84,0°)
Deklinace radiantu: 27,2°
MeteorickĂ˝ roj: sporadickĂ˝
Elementy dráhy meteoroidu:
Vzdálenost v periheliu: 0,462 AU
Excentricita: 0,786
Sklon dráhy: 3,6°
Délka vzestupného uzlu: 258,2°
Argument perihelia: 282,0°
Střední anomálie: 346,3°
Epocha: 2024 DEC 10 03:12:19
orbit plot

NeinteraktivnĂ­ graf | InteraktivnĂ­ graf

position vs time
speed and acceleration