🇳🇴 🇬🇧 🇩🇪 🇨🇿 🇫🇮

Meteor Kilin yllä 2024-12-10 03:12:19 UTC

KML-tiedosto  |  Interaktiivinen kartta

Kartta näyttää meteorin suuntahavainnot. Vaaleammat viivat näyttävät suunnat havaintoasemilta meteorin ilmestyessä, ja tummemmat viivat näyttävät, missä se viimeksi nähtiin. Sininen nuoli näyttää meteorin näkyvän lennon.

static map
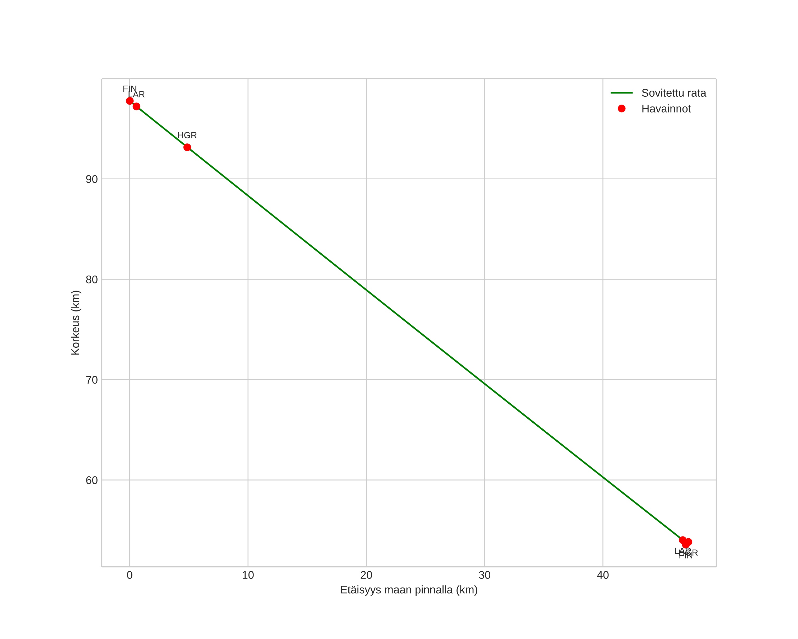
height profile
Meteorin ilmakehärata:
Alkukorkeus: 98,7 km
Loppukorkeus: 53,6 km
Alkupiste: 59,283N 12,503E
Loppupiste: 59,394N 13,322E
Suunta: 74,7°
Kallistuskulma: 43,2°
Tulonopeus: 27,4 km/s
Radiantin R,A,: 05:35 (84,0°)
Radiantin Dekl,: 27,2°
Meteoriparvi: Sporadinen
Meteoroidin rataelementit:
Perihelietäisyys: 0,462 AU
Eksentrisyys: 0,786
Inklinaatio: 3,6°
Nousevan solmun pituus: 258,2°
Perihelin argumentti: 282,0°
Keskianomalia: 346,3°
Epookki: 2024 DEC 10 03:12:19
orbit plot

Ei-interaktiivinen kuvaaja | Interaktiivinen kuvaaja

position vs time
speed and acceleration