🇳🇴 🇬🇧 🇩🇪 🇨🇿 🇫🇮

Meteor, poloha: Herre 2024-12-10 04:58:20 UTC

Soubor KML  |  InteraktivnĂ­ mapa

Mapa zobrazuje dráhy meteoru. Světlejší čáry ukazují směry od pozorovacích stanic při objevení se meteoru a tmavší čáry, kde byl naposledy viděn. Modrá šipka značí viditelnou dráhu meteoru.

static map
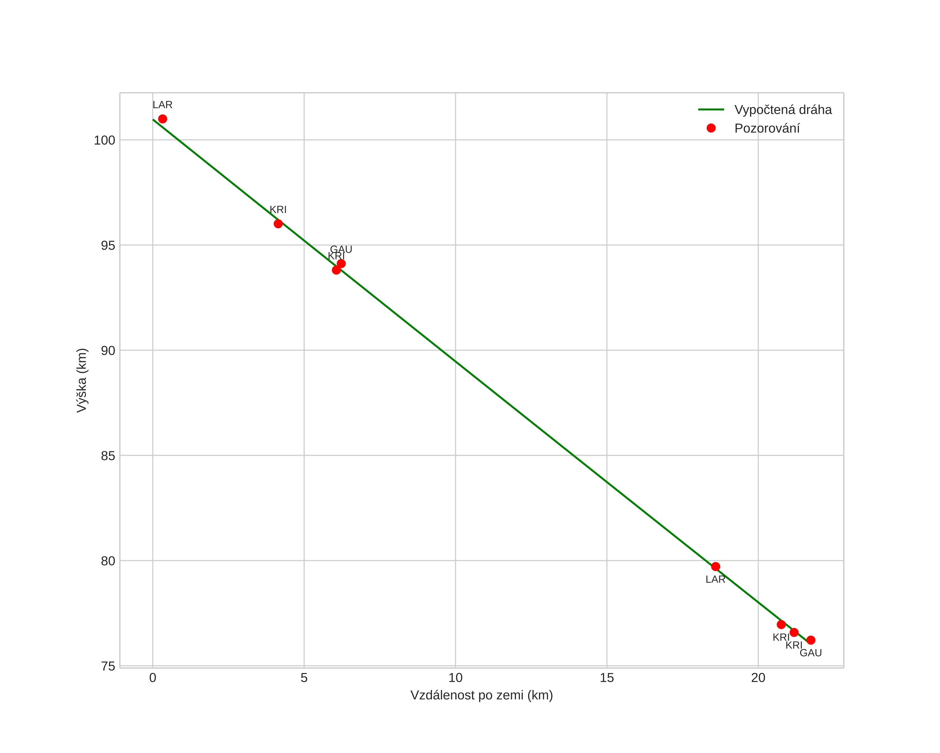
height profile
Atmosférická dráha meteoru:
Počáteční výška: 101,4 km
Konečná výška: 76,2 km
Počáteční poloha: 58,989N 9,044E
Konečná poloha: 59,034N 9,419E
Směr: 76,7°
Sklon: 48,8°
VstupnĂ­ rychlost: 35,1 km/s
Rektascenze radiantu: 07:21 (110,4°)
Deklinace radiantu: 33,4°
MeteorickĂ˝ roj: Geminidy
Elementy dráhy meteoroidu:
Vzdálenost v periheliu: 0,144 AU
Excentricita: 0,884
Sklon dráhy: 24,4°
Délka vzestupného uzlu: 258,3°
Argument perihelia: 325,1°
Střední anomálie: 332,6°
Epocha: 2024 DEC 10 04:58:20
orbit plot

NeinteraktivnĂ­ graf | InteraktivnĂ­ graf

position vs time
speed and acceleration

Gaustatoppen (GAU) cam3

gnomonic
Videa
• Původní
Obrázky
• Původní
Textové soubory
• Detekce
• Pozorování
• Souřadnice
• Protokol
Jasnost