🇳🇴 🇬🇧 🇩🇪 🇨🇿 🇫🇮

Meteor Herren yllä 2024-12-10 04:58:20 UTC

KML-tiedosto  |  Interaktiivinen kartta

Kartta näyttää meteorin suuntahavainnot. Vaaleammat viivat näyttävät suunnat havaintoasemilta meteorin ilmestyessä, ja tummemmat viivat näyttävät, missä se viimeksi nähtiin. Sininen nuoli näyttää meteorin näkyvän lennon.

static map
height profile
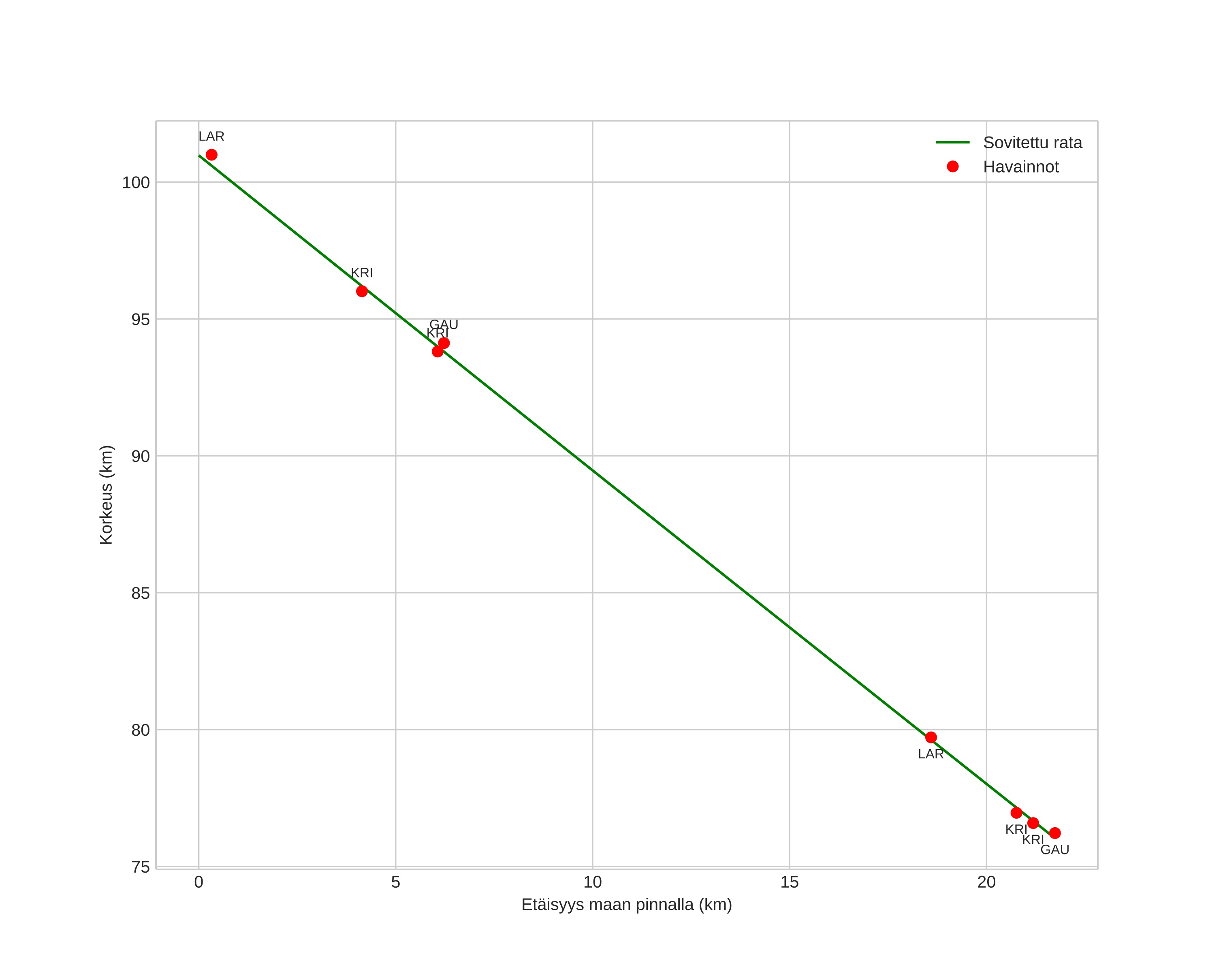
Meteorin ilmakehärata:
Alkukorkeus: 101,4 km
Loppukorkeus: 76,2 km
Alkupiste: 58,989N 9,044E
Loppupiste: 59,034N 9,419E
Suunta: 76,7°
Kallistuskulma: 48,8°
Tulonopeus: 35,1 km/s
Radiantin R,A,: 07:21 (110,4°)
Radiantin Dekl,: 33,4°
Meteoriparvi: Geminidit
Meteoroidin rataelementit:
Perihelietäisyys: 0,144 AU
Eksentrisyys: 0,884
Inklinaatio: 24,4°
Nousevan solmun pituus: 258,3°
Perihelin argumentti: 325,1°
Keskianomalia: 332,6°
Epookki: 2024 DEC 10 04:58:20
orbit plot

Ei-interaktiivinen kuvaaja | Interaktiivinen kuvaaja

position vs time
speed and acceleration

Gaustatoppen (GAU) cam3

gnomonic
Videot:
• Alkuperäinen
Kuvat:
• Alkuperäinen
Tekstitiedostot:
• Havaintoraportti
• Observaatio
• Koordinaatit
• Loki
Kirkkaus