🇳🇴 🇬🇧 🇩🇪 🇨🇿 🇫🇮

Meteor, poloha: Geilo 2024-12-10 06:30:21 UTC

Soubor KML  |  InteraktivnĂ­ mapa

Mapa zobrazuje dráhy meteoru. Světlejší čáry ukazují směry od pozorovacích stanic při objevení se meteoru a tmavší čáry, kde byl naposledy viděn. Modrá šipka značí viditelnou dráhu meteoru.

static map
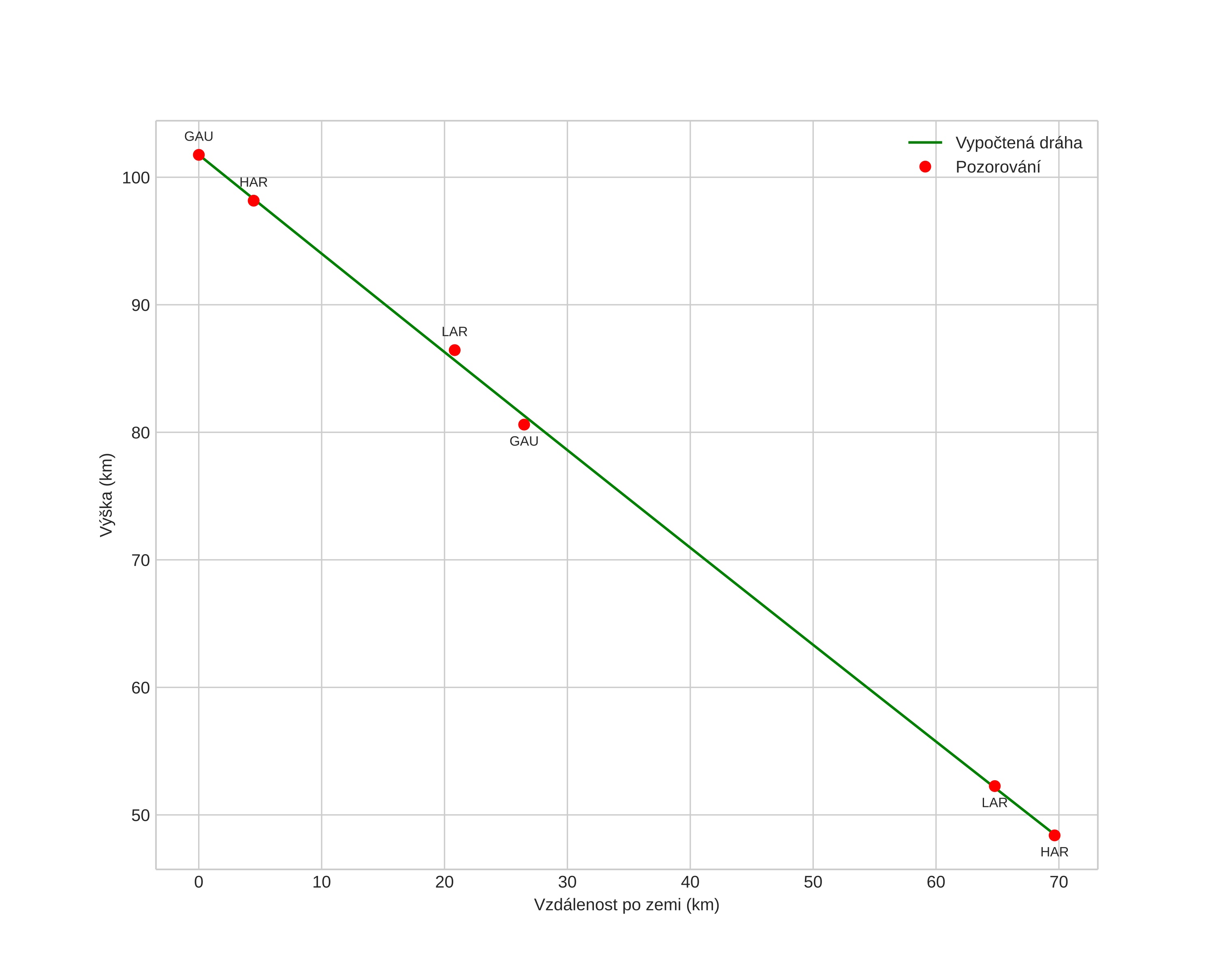
height profile
Atmosférická dráha meteoru:
Počáteční výška: 101,8 km
Konečná výška: 49,0 km
Počáteční poloha: 60,811N 6,623E
Konečná poloha: 60,763N 7,864E
Směr: 94,0°
Sklon: 38,0°
VstupnĂ­ rychlost: 37,5 km/s
Rektascenze radiantu: 07:20 (110,1°)
Deklinace radiantu: 33,2°
MeteorickĂ˝ roj: Geminidy
Elementy dráhy meteoroidu:
Vzdálenost v periheliu: 0,127 AU
Excentricita: 0,913
Sklon dráhy: 27,1°
Délka vzestupného uzlu: 258,3°
Argument perihelia: 325,5°
Střední anomálie: 340,0°
Epocha: 2024 DEC 10 06:30:21
orbit plot

NeinteraktivnĂ­ graf | InteraktivnĂ­ graf

position vs time
speed and acceleration

Gaustatoppen (GAU) cam6

gnomonic
Videa
• Původní
Obrázky
• Původní
Textové soubory
• Detekce
• Pozorování
• Souřadnice
• Protokol
Jasnost