🇳🇴 🇬🇧 🇩🇪 🇨🇿 🇫🇮

Meteor Geilon yllä 2024-12-10 06:30:21 UTC

KML-tiedosto  |  Interaktiivinen kartta

Kartta näyttää meteorin suuntahavainnot. Vaaleammat viivat näyttävät suunnat havaintoasemilta meteorin ilmestyessä, ja tummemmat viivat näyttävät, missä se viimeksi nähtiin. Sininen nuoli näyttää meteorin näkyvän lennon.

static map
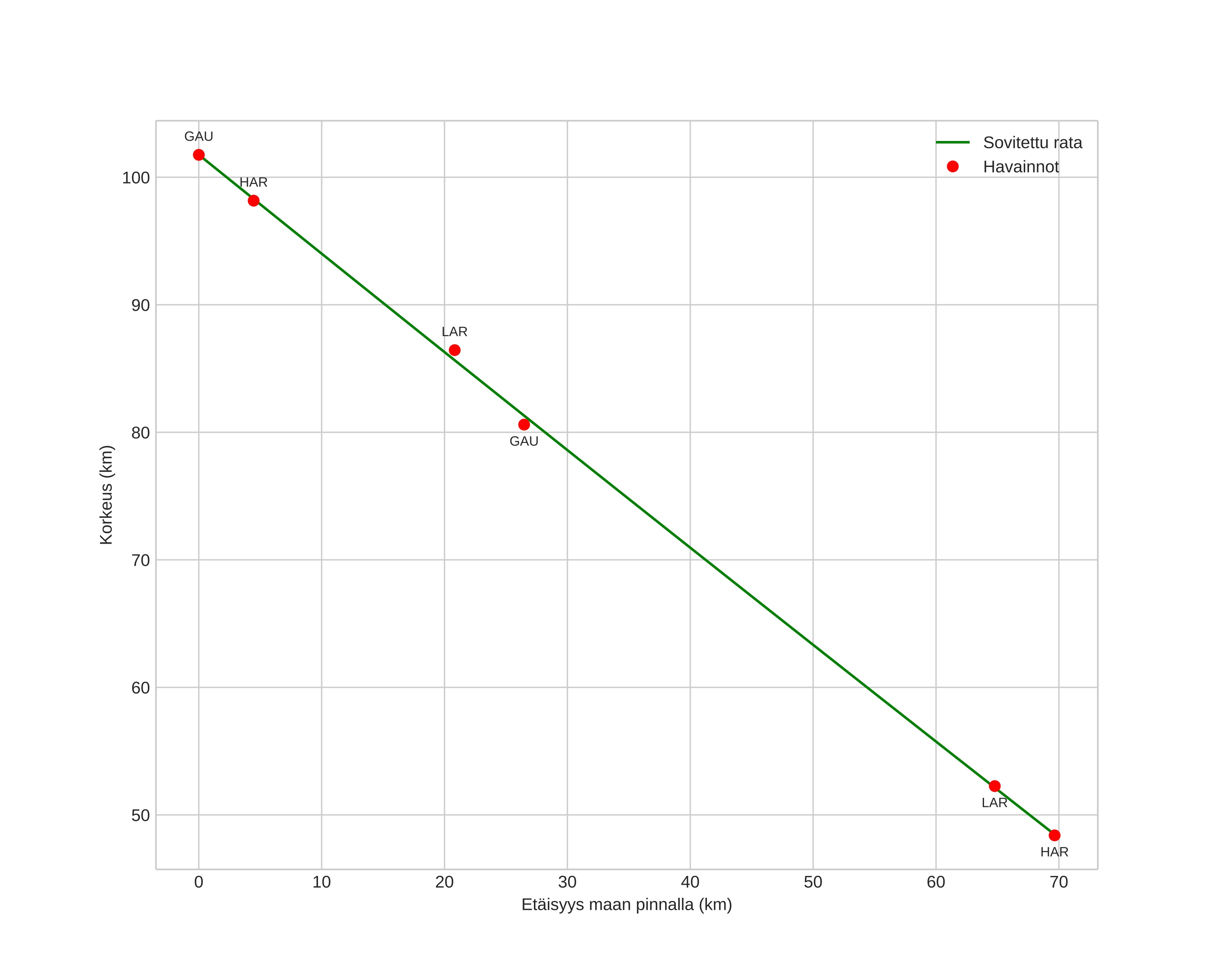
height profile
Meteorin ilmakehärata:
Alkukorkeus: 101,8 km
Loppukorkeus: 49,0 km
Alkupiste: 60,811N 6,623E
Loppupiste: 60,763N 7,864E
Suunta: 94,0°
Kallistuskulma: 38,0°
Tulonopeus: 37,5 km/s
Radiantin R,A,: 07:20 (110,1°)
Radiantin Dekl,: 33,2°
Meteoriparvi: Geminidit
Meteoroidin rataelementit:
Perihelietäisyys: 0,127 AU
Eksentrisyys: 0,913
Inklinaatio: 27,1°
Nousevan solmun pituus: 258,3°
Perihelin argumentti: 325,5°
Keskianomalia: 340,0°
Epookki: 2024 DEC 10 06:30:21
orbit plot

Ei-interaktiivinen kuvaaja | Interaktiivinen kuvaaja

position vs time
speed and acceleration

Gaustatoppen (GAU) cam6

gnomonic
Videot:
• Alkuperäinen
Kuvat:
• Alkuperäinen
Tekstitiedostot:
• Havaintoraportti
• Observaatio
• Koordinaatit
• Loki
Kirkkaus