🇳🇴 🇬🇧 🇩🇪 🇨🇿 🇫🇮

Meteor, poloha: Løten 2024-12-10 21:33:22 UTC

Soubor KML  |  InteraktivnĂ­ mapa

Mapa zobrazuje dráhy meteoru. Světlejší čáry ukazují směry od pozorovacích stanic při objevení se meteoru a tmavší čáry, kde byl naposledy viděn. Modrá šipka značí viditelnou dráhu meteoru.

static map
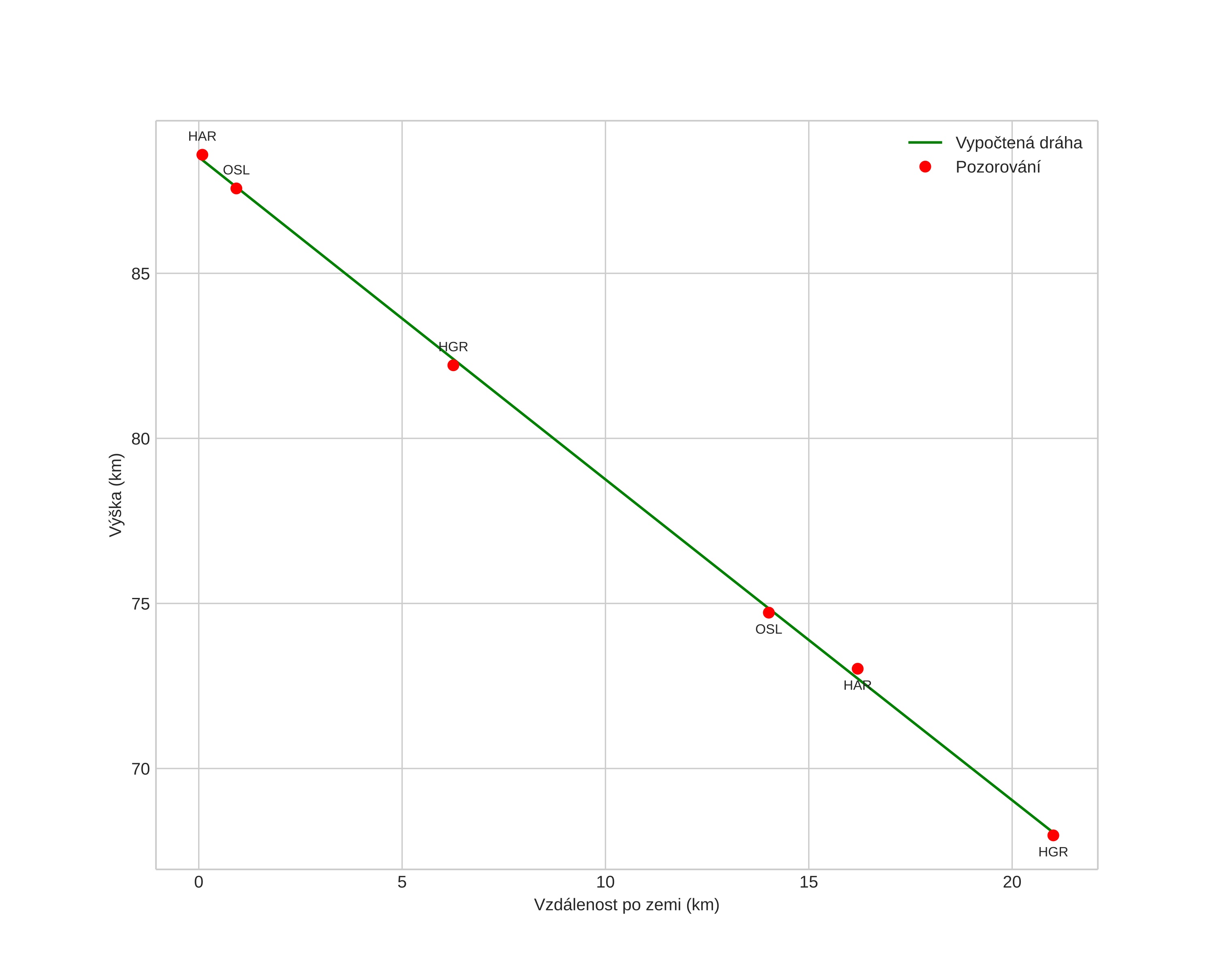
height profile
Atmosférická dráha meteoru:
Počáteční výška: 89,0 km
Konečná výška: 66,8 km
Počáteční poloha: 60,799N 11,779E
Konečná poloha: 60,863N 11,393E
Směr: 289,2°
Sklon: 45,1°
VstupnĂ­ rychlost: 33,3 km/s
Rektascenze radiantu: 07:03 (105,8°)
Deklinace radiantu: 29,3°
MeteorickĂ˝ roj: Geminidy
Elementy dráhy meteoroidu:
Vzdálenost v periheliu: 0,181 AU
Excentricita: 0,860
Sklon dráhy: 11,8°
Délka vzestupného uzlu: 259,0°
Argument perihelia: 319,9°
Střední anomálie: 333,4°
Epocha: 2024 DEC 10 21:33:22
orbit plot

NeinteraktivnĂ­ graf | InteraktivnĂ­ graf

position vs time
speed and acceleration

Harestua (HAR) cam6


gnomonic
Videa
• Gnomonická
• Gnomonická se souřadnicemi
• Původní
• Původní se souřadnicemi
Obrázky
• Gnomonická
• Gnomonická se souřadnicemi
• Gnomonická s popisky
• Původní
• Původní se souřadnicemi
Textové soubory
• Detekce
• Pozorování
• Souřadnice
• Protokol
Jasnost