🇳🇴 🇬🇧 🇩🇪 🇨🇿 🇫🇮

Meteor Løtenin yllä 2024-12-10 21:33:22 UTC

KML-tiedosto  |  Interaktiivinen kartta

Kartta näyttää meteorin suuntahavainnot. Vaaleammat viivat näyttävät suunnat havaintoasemilta meteorin ilmestyessä, ja tummemmat viivat näyttävät, missä se viimeksi nähtiin. Sininen nuoli näyttää meteorin näkyvän lennon.

static map
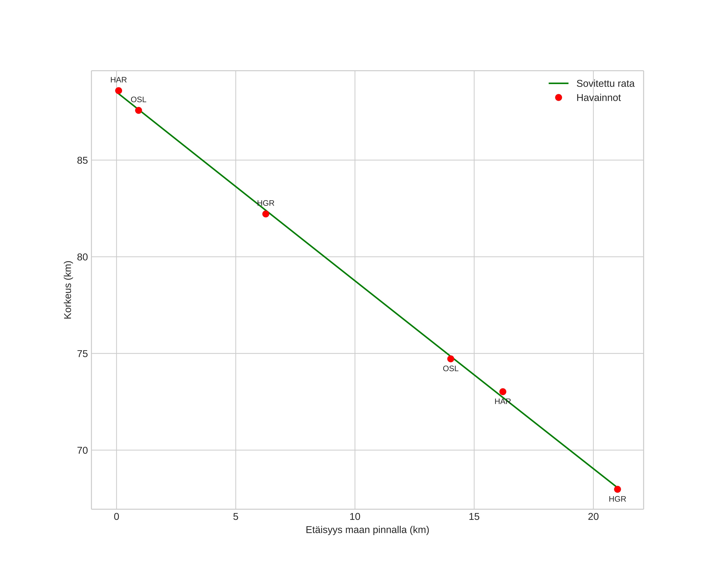
height profile
Meteorin ilmakehärata:
Alkukorkeus: 89,0 km
Loppukorkeus: 66,8 km
Alkupiste: 60,799N 11,779E
Loppupiste: 60,863N 11,393E
Suunta: 289,2°
Kallistuskulma: 45,1°
Tulonopeus: 33,3 km/s
Radiantin R,A,: 07:03 (105,8°)
Radiantin Dekl,: 29,3°
Meteoriparvi: Geminidit
Meteoroidin rataelementit:
Perihelietäisyys: 0,181 AU
Eksentrisyys: 0,860
Inklinaatio: 11,8°
Nousevan solmun pituus: 259,0°
Perihelin argumentti: 319,9°
Keskianomalia: 333,4°
Epookki: 2024 DEC 10 21:33:22
orbit plot

Ei-interaktiivinen kuvaaja | Interaktiivinen kuvaaja

position vs time
speed and acceleration

Harestua (HAR) cam6


gnomonic
Videot:
• Gnomoninen
• Gnomoninen koordinaateilla
• Alkuperäinen
• Alkuperäinen koordinaateilla
Kuvat:
• Gnomoninen
• Gnomoninen koordinaateilla
• Gnomoninen merkinnöillä
• Alkuperäinen
• Alkuperäinen koordinaateilla
Tekstitiedostot:
• Havaintoraportti
• Observaatio
• Koordinaatit
• Loki
Kirkkaus