🇳🇴 🇬🇧 🇩🇪 🇨🇿 🇫🇮

Meteor, poloha: Innbygda 2024-12-10 22:41:24 UTC

Soubor KML  |  InteraktivnĂ­ mapa

Mapa zobrazuje dráhy meteoru. Světlejší čáry ukazují směry od pozorovacích stanic při objevení se meteoru a tmavší čáry, kde byl naposledy viděn. Modrá šipka značí viditelnou dráhu meteoru.

static map
height profile
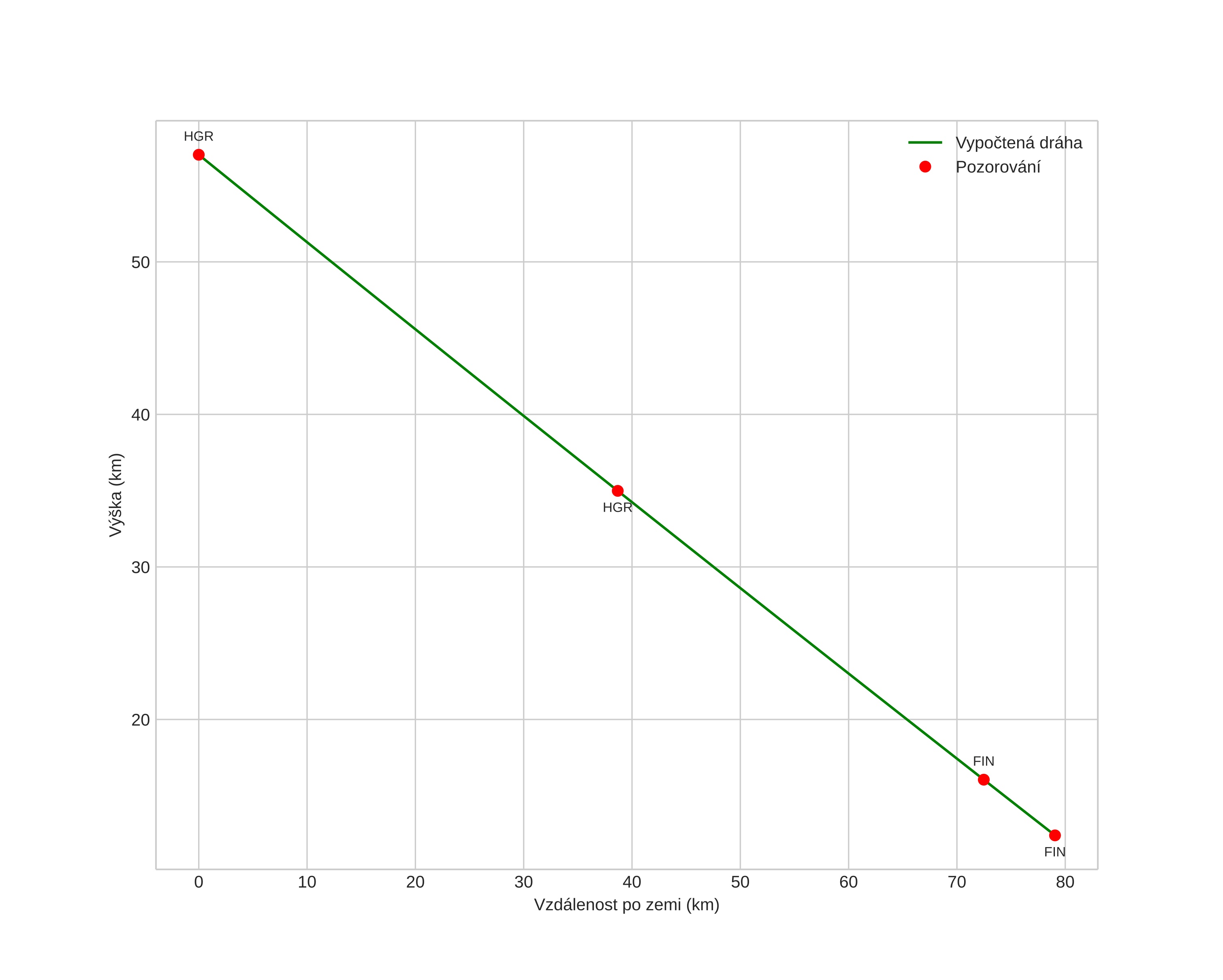
Atmosférická dráha meteoru:
Počáteční výška: 53,8 km
Konečná výška: 12,4 km
Počáteční poloha: 61,310N 13,463E
Konečná poloha: 61,497N 12,136E
Směr: 287,0°
Sklon: 29,3°
VstupnĂ­ rychlost: 46,6 km/s
Rektascenze radiantu: 08:59 (135,0°)
Deklinace radiantu: 17,1°
MeteorickĂ˝ roj: sporadickĂ˝
Elementy dráhy meteoroidu:
Vzdálenost v periheliu: 0,020 AU
Excentricita: 0,977
Sklon dráhy: 179,3°
Délka vzestupného uzlu: 259,3°
Argument perihelia: 349,7°
Střední anomálie: 316,6°
Epocha: 2024 DEC 10 22:41:24
orbit plot

NeinteraktivnĂ­ graf | InteraktivnĂ­ graf

position vs time
speed and acceleration