🇳🇴 🇬🇧 🇩🇪 🇨🇿 🇫🇮

Meteor Innbygdan yllä 2024-12-10 22:41:24 UTC

KML-tiedosto  |  Interaktiivinen kartta

Kartta näyttää meteorin suuntahavainnot. Vaaleammat viivat näyttävät suunnat havaintoasemilta meteorin ilmestyessä, ja tummemmat viivat näyttävät, missä se viimeksi nähtiin. Sininen nuoli näyttää meteorin näkyvän lennon.

static map
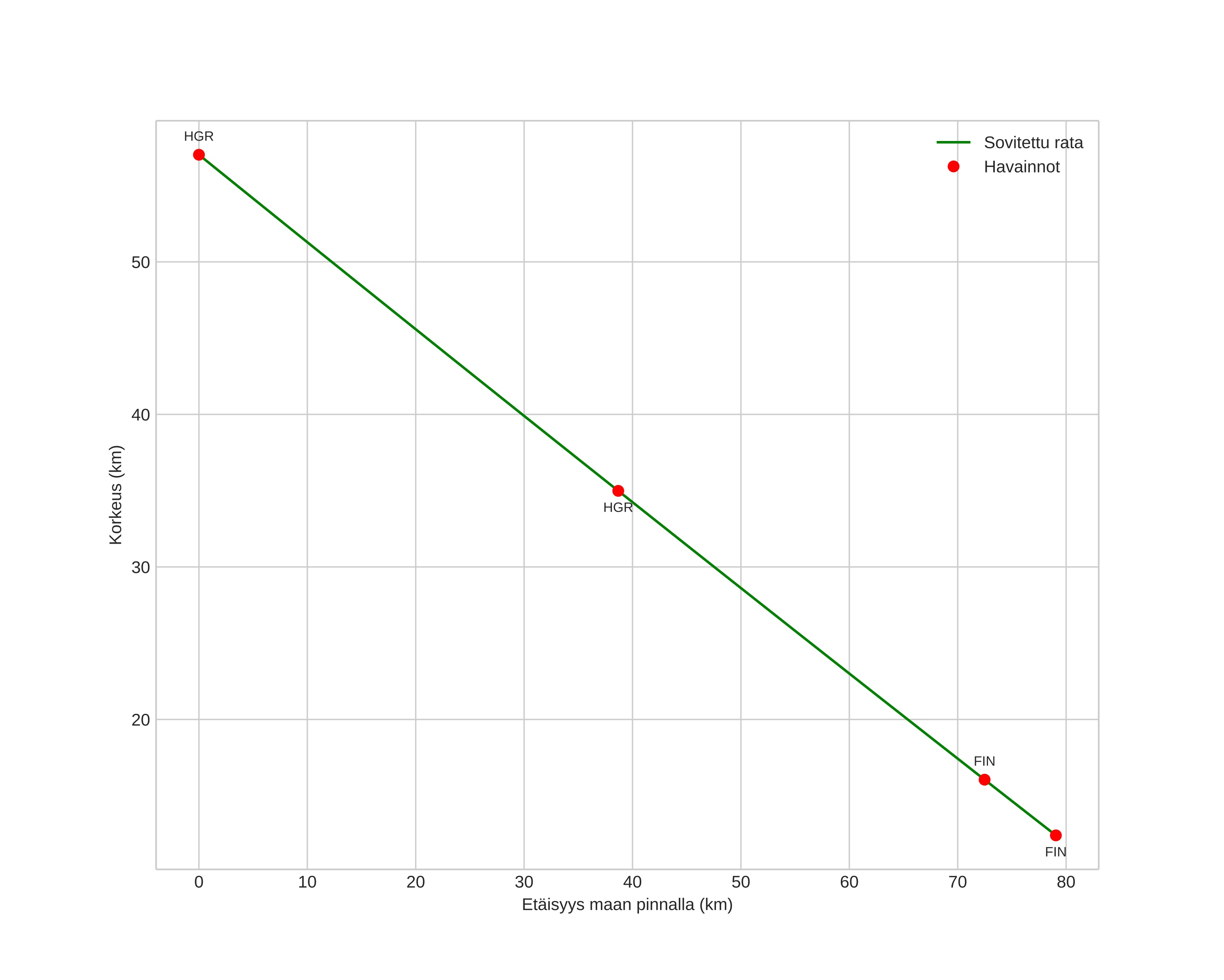
height profile
Meteorin ilmakehärata:
Alkukorkeus: 53,8 km
Loppukorkeus: 12,4 km
Alkupiste: 61,310N 13,463E
Loppupiste: 61,497N 12,136E
Suunta: 287,0°
Kallistuskulma: 29,3°
Tulonopeus: 46,6 km/s
Radiantin R,A,: 08:59 (135,0°)
Radiantin Dekl,: 17,1°
Meteoriparvi: Sporadinen
Meteoroidin rataelementit:
Perihelietäisyys: 0,020 AU
Eksentrisyys: 0,977
Inklinaatio: 179,3°
Nousevan solmun pituus: 259,3°
Perihelin argumentti: 349,7°
Keskianomalia: 316,6°
Epookki: 2024 DEC 10 22:41:24
orbit plot

Ei-interaktiivinen kuvaaja | Interaktiivinen kuvaaja

position vs time
speed and acceleration