🇳🇴 🇬🇧 🇩🇪 🇨🇿 🇫🇮

Meteor, poloha: Bø 2024-12-10 22:53:45 UTC

Soubor KML  |  InteraktivnĂ­ mapa

Mapa zobrazuje dráhy meteoru. Světlejší čáry ukazují směry od pozorovacích stanic při objevení se meteoru a tmavší čáry, kde byl naposledy viděn. Modrá šipka značí viditelnou dráhu meteoru.

static map
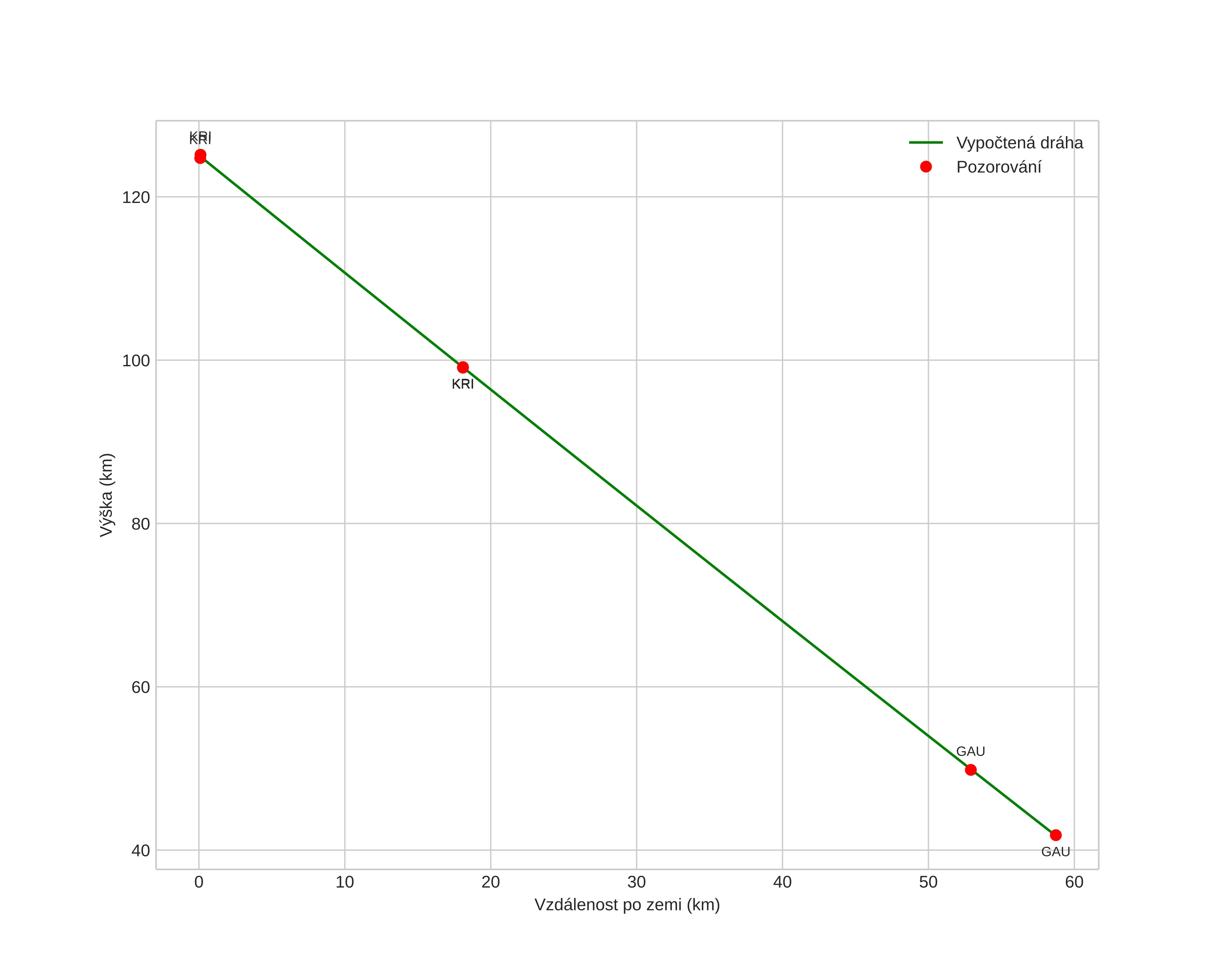
height profile
Atmosférická dráha meteoru:
Počáteční výška: 126,2 km
Konečná výška: 41,8 km
Počáteční poloha: 59,072N 9,912E
Konečná poloha: 59,334N 8,993E
Směr: 299,5°
Sklon: 54,6°
VstupnĂ­ rychlost: 50,1 km/s
Rektascenze radiantu: 07:20 (110,1°)
Deklinace radiantu: 33,2°
MeteorickĂ˝ roj: sporadickĂ˝
Elementy dráhy meteoroidu:
Vzdálenost v periheliu: 0,079 AU
Excentricita: 1,013
Sklon dráhy: 50,1°
Délka vzestupného uzlu: 259,0°
Argument perihelia: 325,8°
Střední anomálie: -1,9°
Epocha: 2024 DEC 10 22:53:45
orbit plot

NeinteraktivnĂ­ graf | InteraktivnĂ­ graf

position vs time
speed and acceleration

Gaustatoppen (GAU) cam3

gnomonic
Videa
• Původní
Obrázky
• Původní
Textové soubory
• Detekce
• Pozorování
• Souřadnice
• Protokol
Jasnost