🇳🇴 🇬🇧 🇩🇪 🇨🇿 🇫🇮

Meteor über Bø 2024-12-10 22:53:45 UTC

KML-Datei  |  Interaktive Karte

Die Karte zeigt die Peilungen für den Meteor. Die helleren Linien zeigen die Richtungen von den Beobachtungsorten beim Erscheinen des Meteors, und die dunkleren Linien, wo er zuletzt gesehen wurde. Der blaue Pfeil zeigt die sichtbare Bahn des Meteors.

static map
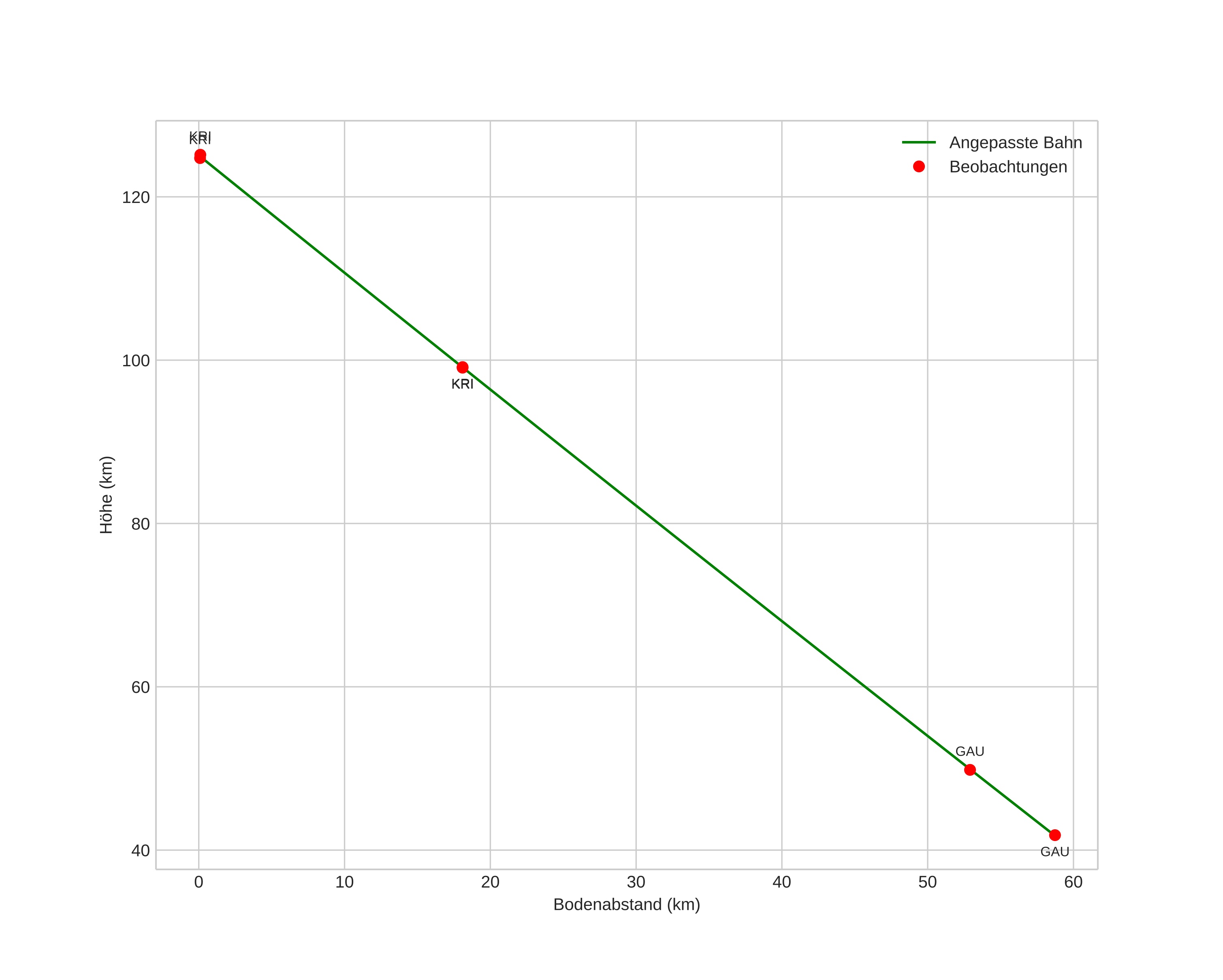
height profile
Atmosphärische Bahn des Meteors:
Anfangshöhe: 126,2 km
Endhöhe: 41,8 km
Startposition: 59,072N 9,912E
Endposition: 59,334N 8,993E
Richtung: 299,5°
Neigungswinkel: 54,6°
Eintrittsgeschwindigkeit: 50,1 km/s
Rektaszension des Radianten: 07:20 (110,1°)
Deklination des Radianten: 33,2°
Meteorstrom: sporadisch
Bahnelemente des Meteoroiden:
Periheldistanz: 0,079 AU
Exzentrizität: 1,013
Inklination: 50,1°
Länge des aufsteigenden Knotens: 259,0°
Argument des Perihels: 325,8°
Mittlere Anomalie: -1,9°
Epoche: 2024 DEC 10 22:53:45
orbit plot

Nicht-interaktives Diagramm | Interaktives Diagramm

position vs time
speed and acceleration

Gaustatoppen (GAU) cam3

gnomonic
Videos
• Original
Bilder
• Original
Textdateien
• Erkennung
• Beobachtung
• Koordinaten
• Protokoll
Helligkeit