🇳🇴 🇬🇧 🇩🇪 🇨🇿 🇫🇮

Meteor, poloha: Sand 2024-12-11 01:08:15 UTC

Soubor KML  |  InteraktivnĂ­ mapa

Mapa zobrazuje dráhy meteoru. Světlejší čáry ukazují směry od pozorovacích stanic při objevení se meteoru a tmavší čáry, kde byl naposledy viděn. Modrá šipka značí viditelnou dráhu meteoru.

static map
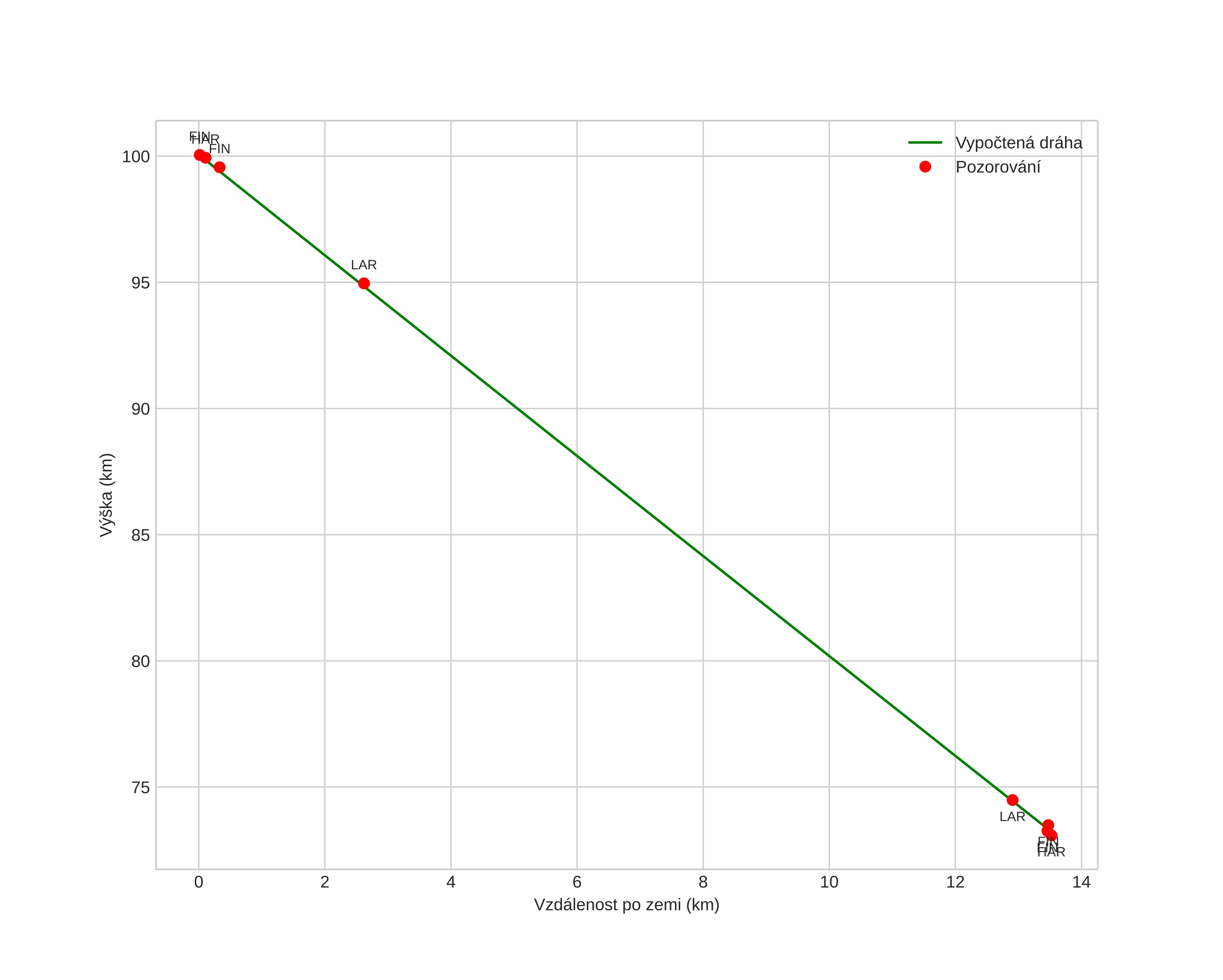
height profile
Atmosférická dráha meteoru:
Počáteční výška: 101,7 km
Konečná výška: 72,8 km
Počáteční poloha: 60,240N 11,594E
Konečná poloha: 60,372N 11,574E
Směr: 355,8°
Sklon: 62,8°
VstupnĂ­ rychlost: 16,8 km/s
Rektascenze radiantu: 07:19 (109,9°)
Deklinace radiantu: 29,1°
MeteorickĂ˝ roj: sporadickĂ˝
Elementy dráhy meteoroidu:
Vzdálenost v periheliu: 0,444 AU
Excentricita: 0,458
Sklon dráhy: 3,6°
Délka vzestupného uzlu: 259,1°
Argument perihelia: 318,4°
Střední anomálie: 267,4°
Epocha: 2024 DEC 11 01:08:15
orbit plot

NeinteraktivnĂ­ graf | InteraktivnĂ­ graf

position vs time
speed and acceleration