🇳🇴 🇬🇧 🇩🇪 🇨🇿 🇫🇮

Meteor Sandin yllä 2024-12-11 01:08:15 UTC

KML-tiedosto  |  Interaktiivinen kartta

Kartta näyttää meteorin suuntahavainnot. Vaaleammat viivat näyttävät suunnat havaintoasemilta meteorin ilmestyessä, ja tummemmat viivat näyttävät, missä se viimeksi nähtiin. Sininen nuoli näyttää meteorin näkyvän lennon.

static map
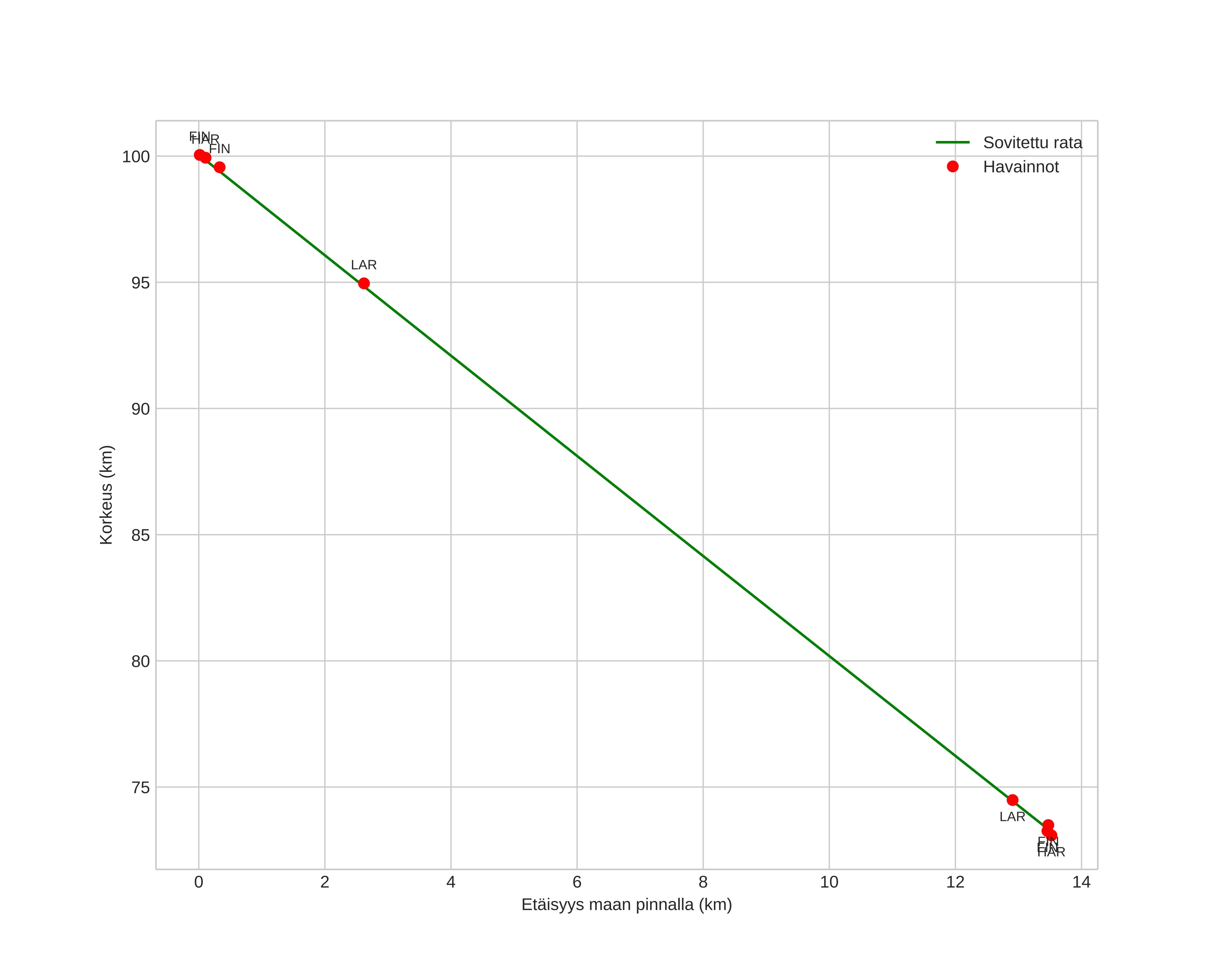
height profile
Meteorin ilmakehärata:
Alkukorkeus: 101,7 km
Loppukorkeus: 72,8 km
Alkupiste: 60,240N 11,594E
Loppupiste: 60,372N 11,574E
Suunta: 355,8°
Kallistuskulma: 62,8°
Tulonopeus: 16,8 km/s
Radiantin R,A,: 07:19 (109,9°)
Radiantin Dekl,: 29,1°
Meteoriparvi: Sporadinen
Meteoroidin rataelementit:
Perihelietäisyys: 0,444 AU
Eksentrisyys: 0,458
Inklinaatio: 3,6°
Nousevan solmun pituus: 259,1°
Perihelin argumentti: 318,4°
Keskianomalia: 267,4°
Epookki: 2024 DEC 11 01:08:15
orbit plot

Ei-interaktiivinen kuvaaja | Interaktiivinen kuvaaja

position vs time
speed and acceleration