🇳🇴 🇬🇧 🇩🇪 🇨🇿 🇫🇮

Meteor, poloha: Heggenes 2024-12-11 02:45:12 UTC

Soubor KML

Mapa zobrazuje dráhy meteoru. Světlejší čáry ukazují směry od pozorovacích stanic při objevení se meteoru a tmavší čáry, kde byl naposledy viděn. Modrá šipka značí viditelnou dráhu meteoru.

static map
height profile
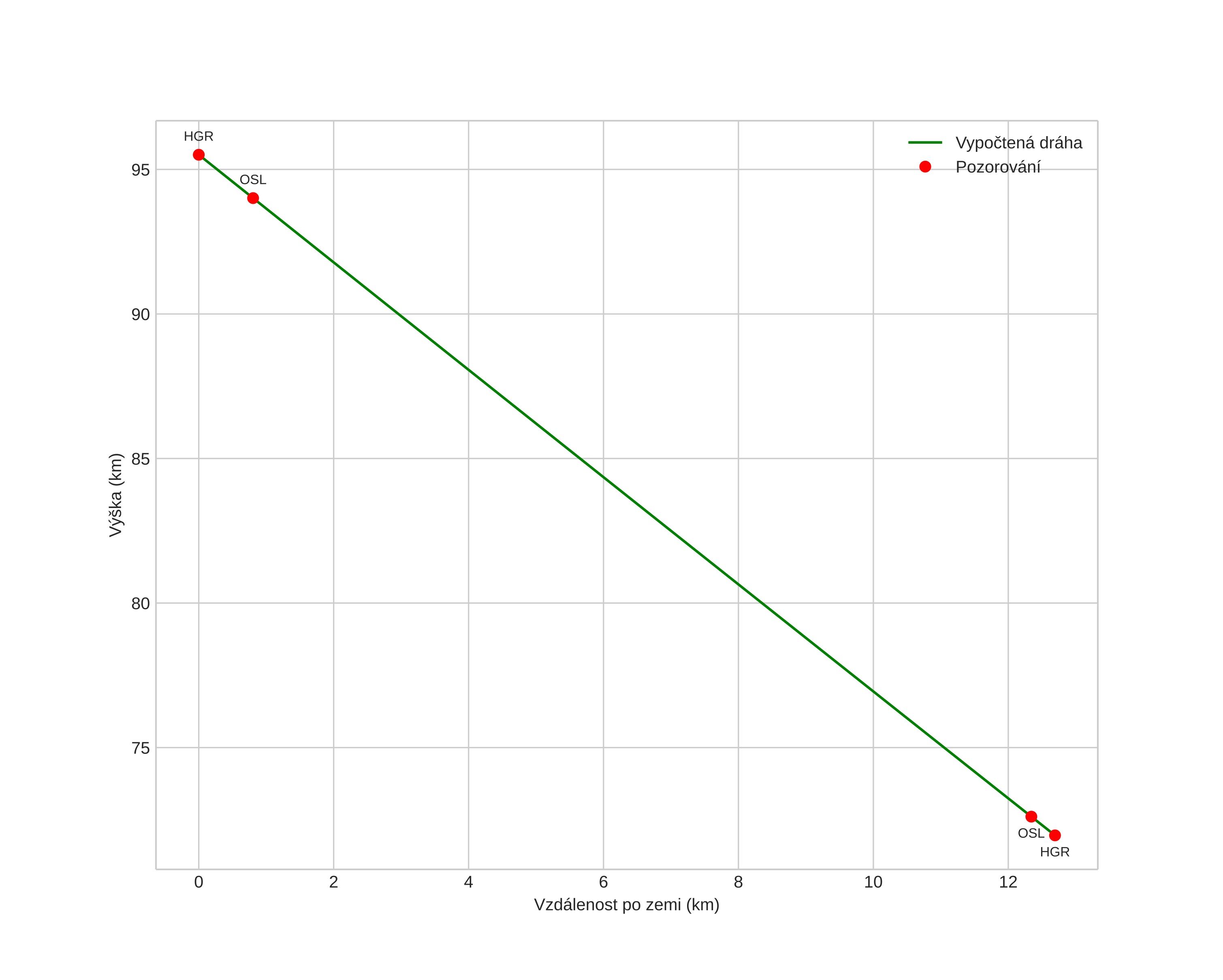
Atmosférická dráha meteoru:
Počáteční výška: 95,5 km
Konečná výška: 72,0 km
Počáteční poloha: 61,095N 8,888E
Konečná poloha: 61,189N 9,023E
Směr: 34,5°
Sklon: 61,6°
VstupnĂ­ rychlost: 36,1 km/s
Rektascenze radiantu: 07:20 (110,0°)
Deklinace radiantu: 34,7°
MeteorickĂ˝ roj: Geminidy
Elementy dráhy meteoroidu:
Vzdálenost v periheliu: 0,156 AU
Excentricita: 0,889
Sklon dráhy: 26,8°
Délka vzestupného uzlu: 259,2°
Argument perihelia: 322,0°
Střední anomálie: 337,7°
Epocha: 2024 DEC 11 02:45:12
orbit plot

NeinteraktivnĂ­ graf

position vs time
speed and acceleration