🇳🇴 🇬🇧 🇩🇪 🇨🇿 🇫🇮

Meteor Heggenesin yllä 2024-12-11 02:45:12 UTC

KML-tiedosto  |  Interaktiivinen kartta

Kartta näyttää meteorin suuntahavainnot. Vaaleammat viivat näyttävät suunnat havaintoasemilta meteorin ilmestyessä, ja tummemmat viivat näyttävät, missä se viimeksi nähtiin. Sininen nuoli näyttää meteorin näkyvän lennon.

static map
height profile
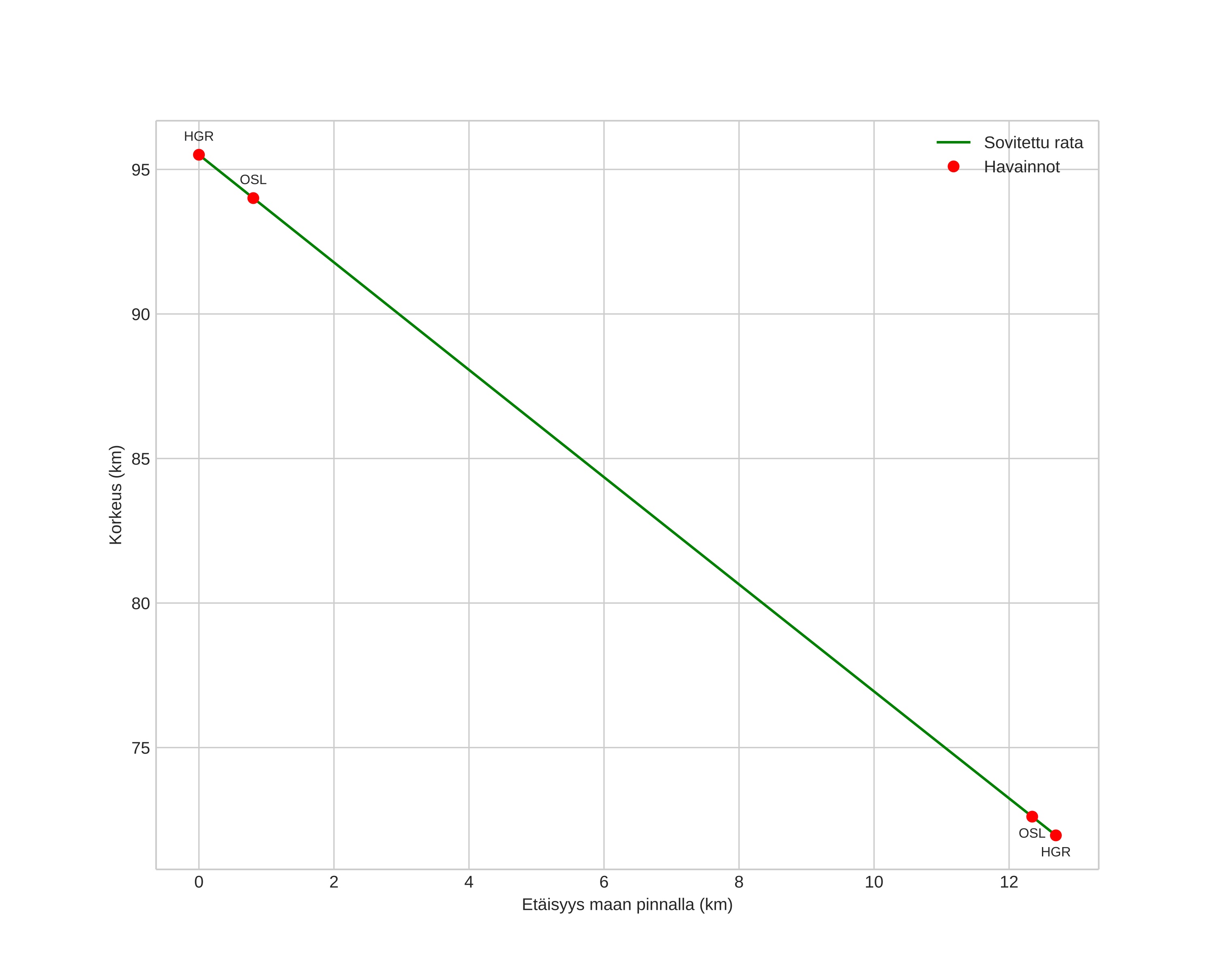
Meteorin ilmakehärata:
Alkukorkeus: 95,4 km
Loppukorkeus: 70,9 km
Alkupiste: 61,090N 8,894E
Loppupiste: 61,181N 9,039E
Suunta: 37,5°
Kallistuskulma: 62,4°
Tulonopeus: 36,5 km/s
Radiantin R,A,: 07:14 (108,7°)
Radiantin Dekl,: 35,9°
Meteoriparvi: Geminidit
Meteoroidin rataelementit:
Perihelietäisyys: 0,173 AU
Eksentrisyys: 0,889
Inklinaatio: 28,1°
Nousevan solmun pituus: 259,2°
Perihelin argumentti: 318,8°
Keskianomalia: 340,9°
Epookki: 2024 DEC 11 02:45:12
orbit plot

Ei-interaktiivinen kuvaaja | Interaktiivinen kuvaaja

position vs time
speed and acceleration