🇳🇴 🇬🇧 🇩🇪 🇨🇿 🇫🇮

Meteor, poloha: Nykøbing Mors 2024-12-11 03:06:41 UTC

Soubor KML  |  InteraktivnĂ­ mapa

Mapa zobrazuje dráhy meteoru. Světlejší čáry ukazují směry od pozorovacích stanic při objevení se meteoru a tmavší čáry, kde byl naposledy viděn. Modrá šipka značí viditelnou dráhu meteoru.

static map
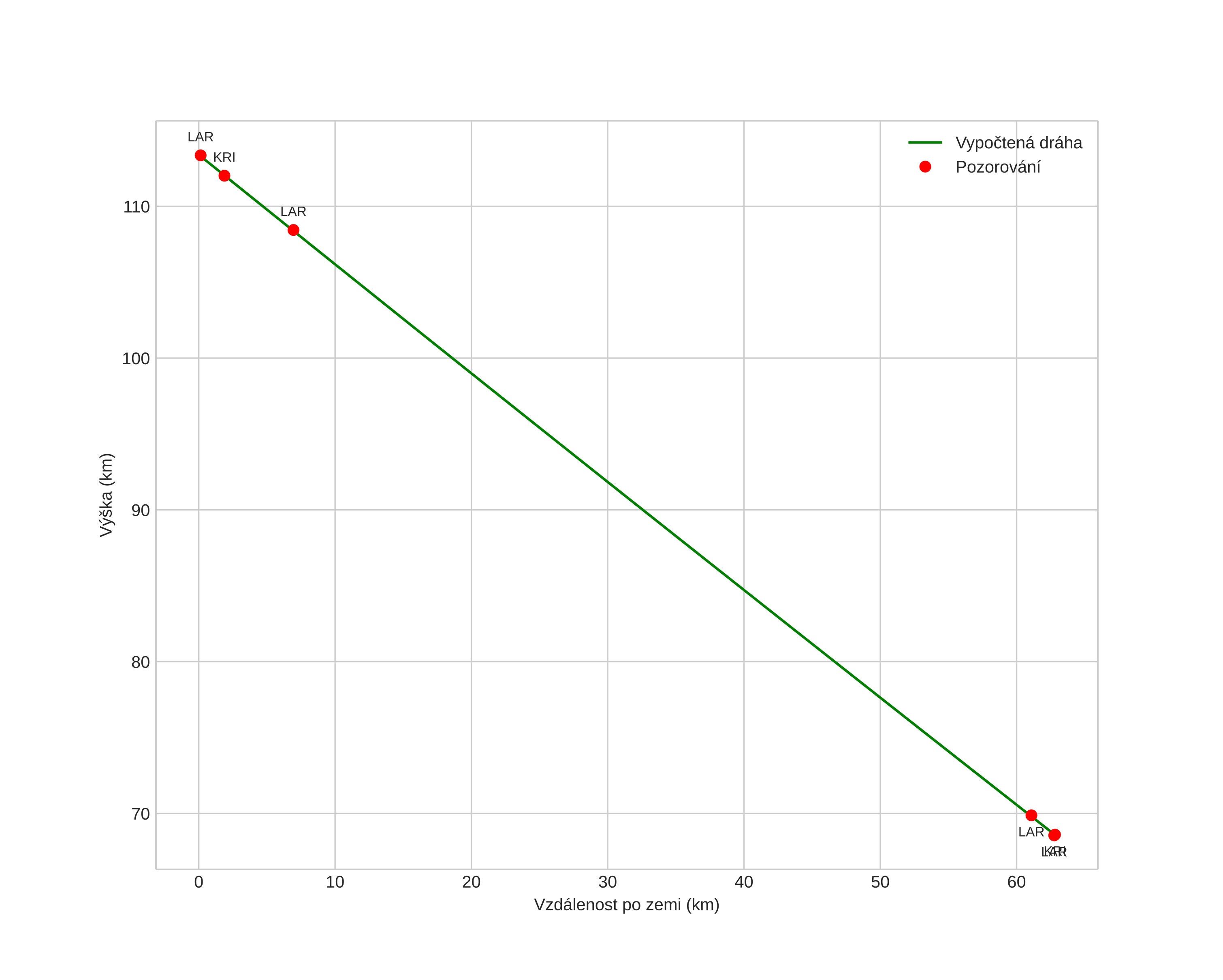
height profile
Atmosférická dráha meteoru:
Počáteční výška: 114,1 km
Konečná výška: 68,7 km
Počáteční poloha: 56,356N 8,664E
Konečná poloha: 56,918N 8,839E
Směr: 9,7°
Sklon: 35,6°
VstupnĂ­ rychlost: 57,9 km/s
Rektascenze radiantu: 08:28 (127,1°)
Deklinace radiantu: 1,8°
MeteorickĂ˝ roj: Sigma Hydridy
Elementy dráhy meteoroidu:
Vzdálenost v periheliu: 0,221 AU
Excentricita: 0,961
Sklon dráhy: 124,7°
Délka vzestupného uzlu: 79,2°
Argument perihelia: 125,7°
Střední anomálie: 357,4°
Epocha: 2024 DEC 11 03:06:41
orbit plot

NeinteraktivnĂ­ graf | InteraktivnĂ­ graf

position vs time
speed and acceleration