🇳🇴 🇬🇧 🇩🇪 🇨🇿 🇫🇮

Meteor Nykøbing Morsin yllä 2024-12-11 03:06:41 UTC

KML-tiedosto  |  Interaktiivinen kartta

Kartta näyttää meteorin suuntahavainnot. Vaaleammat viivat näyttävät suunnat havaintoasemilta meteorin ilmestyessä, ja tummemmat viivat näyttävät, missä se viimeksi nähtiin. Sininen nuoli näyttää meteorin näkyvän lennon.

static map
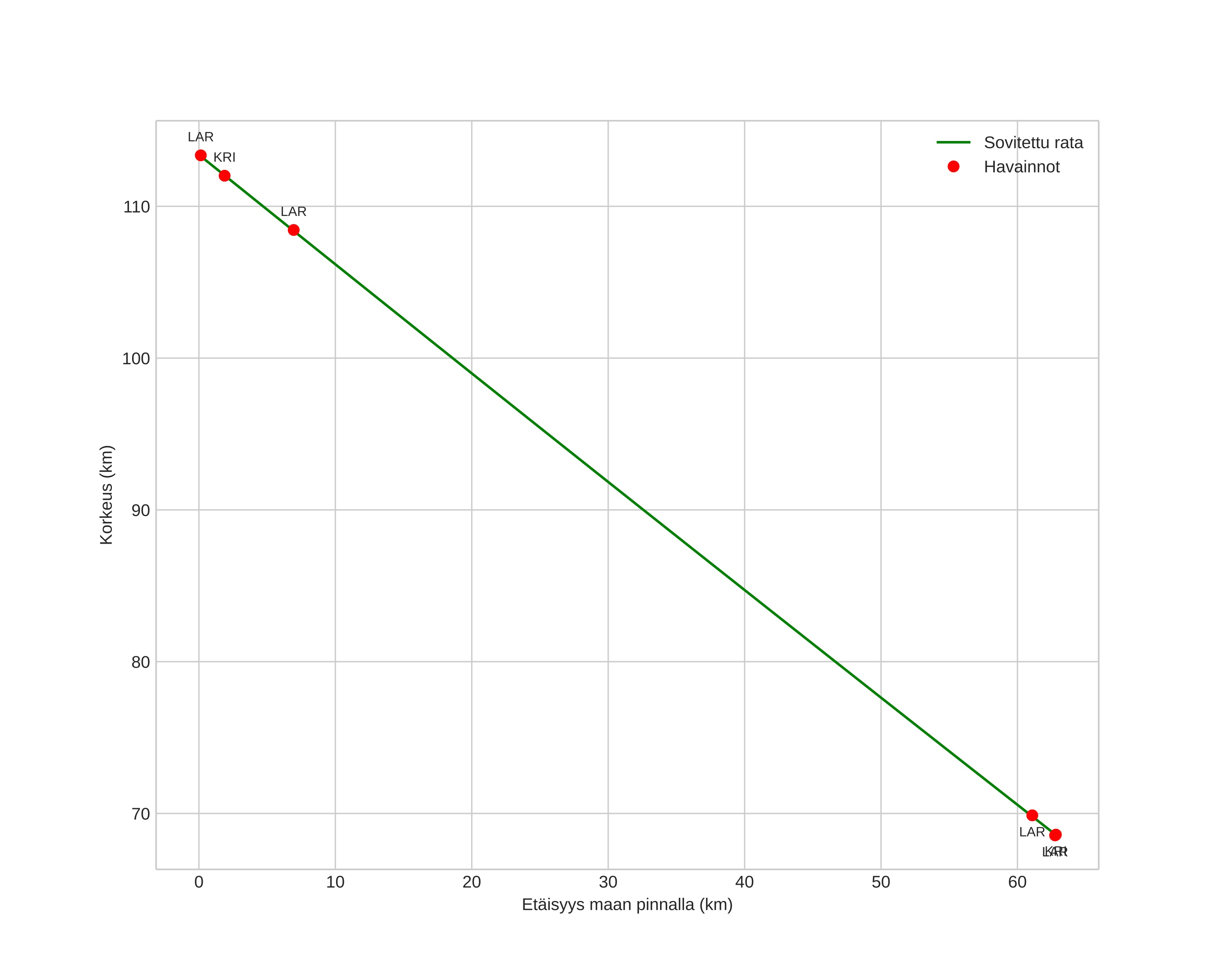
height profile
Meteorin ilmakehärata:
Alkukorkeus: 114,1 km
Loppukorkeus: 68,7 km
Alkupiste: 56,356N 8,664E
Loppupiste: 56,918N 8,839E
Suunta: 9,7°
Kallistuskulma: 35,6°
Tulonopeus: 57,9 km/s
Radiantin R,A,: 08:28 (127,1°)
Radiantin Dekl,: 1,8°
Meteoriparvi: Sigma-hydridit
Meteoroidin rataelementit:
Perihelietäisyys: 0,221 AU
Eksentrisyys: 0,961
Inklinaatio: 124,7°
Nousevan solmun pituus: 79,2°
Perihelin argumentti: 125,7°
Keskianomalia: 357,4°
Epookki: 2024 DEC 11 03:06:41
orbit plot

Ei-interaktiivinen kuvaaja | Interaktiivinen kuvaaja

position vs time
speed and acceleration