🇳🇴 🇬🇧 🇩🇪 🇨🇿 🇫🇮

Meteor, poloha: Risør 2024-12-11 05:22:21 UTC

Soubor KML  |  InteraktivnĂ­ mapa

Mapa zobrazuje dráhy meteoru. Světlejší čáry ukazují směry od pozorovacích stanic při objevení se meteoru a tmavší čáry, kde byl naposledy viděn. Modrá šipka značí viditelnou dráhu meteoru.

static map
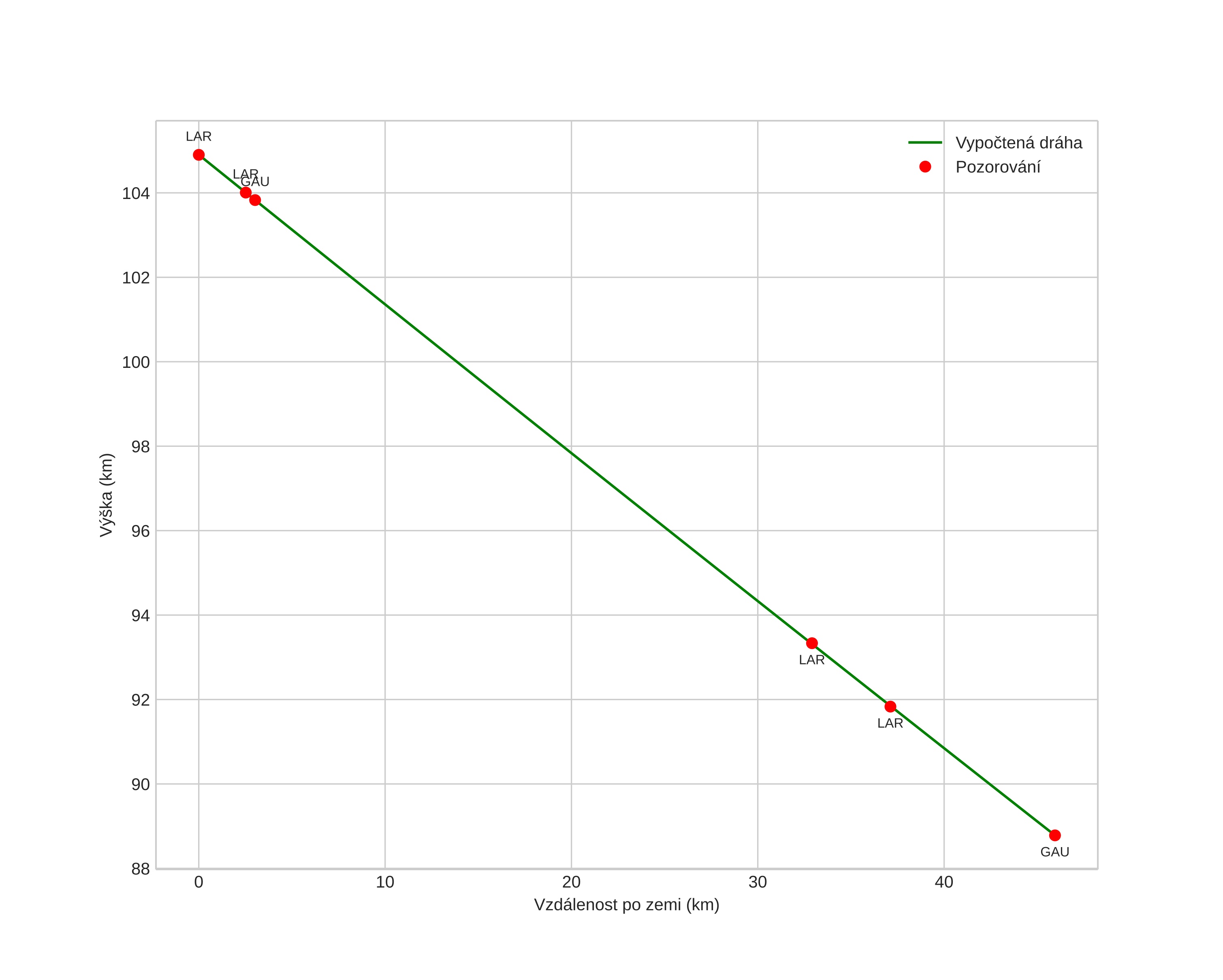
height profile
Atmosférická dráha meteoru:
Počáteční výška: 106,4 km
Konečná výška: 88,8 km
Počáteční poloha: 58,257N 8,556E
Konečná poloha: 58,369N 9,387E
Směr: 75,2°
Sklon: 19,3°
VstupnĂ­ rychlost: 45,0 km/s
Rektascenze radiantu: 06:43 (101,0°)
Deklinace radiantu: 7,8°
MeteorickĂ˝ roj: Monocerotidy
Elementy dráhy meteoroidu:
Vzdálenost v periheliu: 0,184 AU
Excentricita: 1,019
Sklon dráhy: 38,6°
Délka vzestupného uzlu: 79,3°
Argument perihelia: 127,6°
Střední anomálie: -1,1°
Epocha: 2024 DEC 11 05:22:21
orbit plot

NeinteraktivnĂ­ graf | InteraktivnĂ­ graf

position vs time
speed and acceleration

Gaustatoppen (GAU) cam3

gnomonic
Videa
• Původní
Obrázky
• Původní
Textové soubory
• Detekce
• Pozorování
• Souřadnice
• Protokol
Jasnost