🇳🇴 🇬🇧 🇩🇪 🇨🇿 🇫🇮

Meteor Risørin yllä 2024-12-11 05:22:21 UTC

KML-tiedosto  |  Interaktiivinen kartta

Kartta näyttää meteorin suuntahavainnot. Vaaleammat viivat näyttävät suunnat havaintoasemilta meteorin ilmestyessä, ja tummemmat viivat näyttävät, missä se viimeksi nähtiin. Sininen nuoli näyttää meteorin näkyvän lennon.

static map
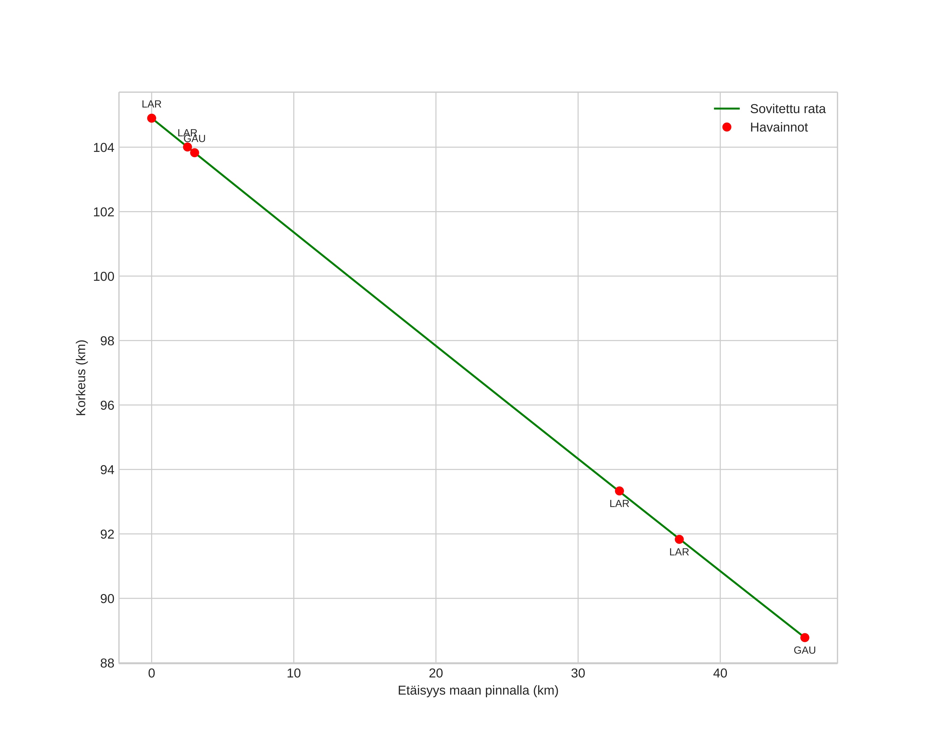
height profile
Meteorin ilmakehärata:
Alkukorkeus: 106,4 km
Loppukorkeus: 88,8 km
Alkupiste: 58,257N 8,556E
Loppupiste: 58,369N 9,387E
Suunta: 75,2°
Kallistuskulma: 19,3°
Tulonopeus: 45,0 km/s
Radiantin R,A,: 06:43 (101,0°)
Radiantin Dekl,: 7,8°
Meteoriparvi: Monoserotidit
Meteoroidin rataelementit:
Perihelietäisyys: 0,184 AU
Eksentrisyys: 1,019
Inklinaatio: 38,6°
Nousevan solmun pituus: 79,3°
Perihelin argumentti: 127,6°
Keskianomalia: -1,1°
Epookki: 2024 DEC 11 05:22:21
orbit plot

Ei-interaktiivinen kuvaaja | Interaktiivinen kuvaaja

position vs time
speed and acceleration

Gaustatoppen (GAU) cam3

gnomonic
Videot:
• Alkuperäinen
Kuvat:
• Alkuperäinen
Tekstitiedostot:
• Havaintoraportti
• Observaatio
• Koordinaatit
• Loki
Kirkkaus