🇳🇴 🇬🇧 🇩🇪 🇨🇿 🇫🇮

Meteor, poloha: Arvika 2024-12-12 01:16:25 UTC

Soubor KML  |  InteraktivnĂ­ mapa

Mapa zobrazuje dráhy meteoru. Světlejší čáry ukazují směry od pozorovacích stanic při objevení se meteoru a tmavší čáry, kde byl naposledy viděn. Modrá šipka značí viditelnou dráhu meteoru.

static map
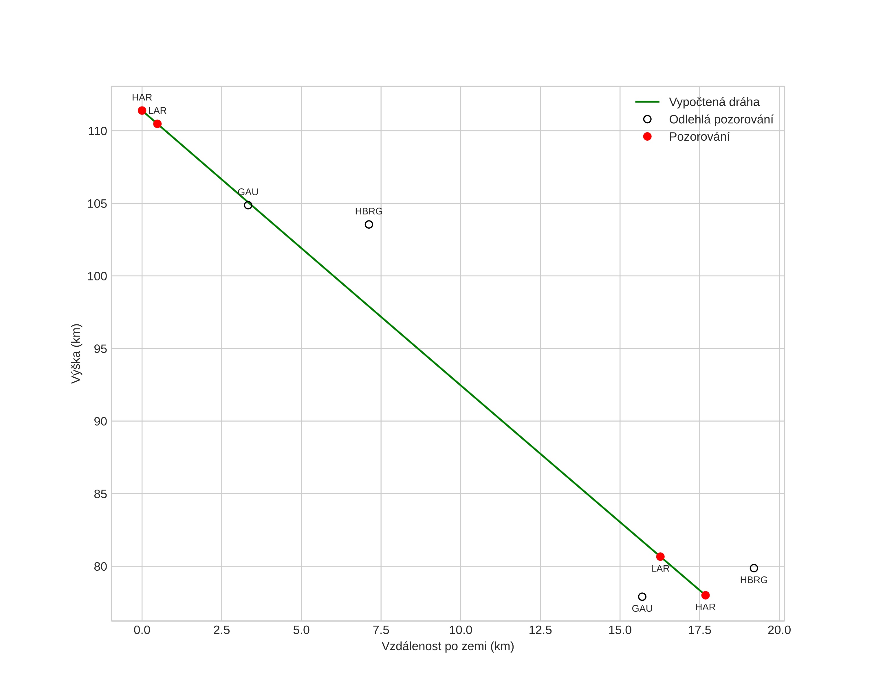
height profile
Atmosférická dráha meteoru:
Počáteční výška: 111,6 km
Konečná výška: 78,0 km
Počáteční poloha: 59,439N 12,911E
Konečná poloha: 59,408N 12,603E
Směr: 259,1°
Sklon: 62,1°
VstupnĂ­ rychlost: 53,9 km/s
Rektascenze radiantu: 10:54 (163,7°)
Deklinace radiantu: 53,8°
MeteorickĂ˝ roj: sporadickĂ˝
Elementy dráhy meteoroidu:
Vzdálenost v periheliu: 0,739 AU
Excentricita: 0,875
Sklon dráhy: 95,5°
Délka vzestupného uzlu: 260,2°
Argument perihelia: 242,3°
Střední anomálie: 357,5°
Epocha: 2024 DEC 12 01:16:25
orbit plot

NeinteraktivnĂ­ graf | InteraktivnĂ­ graf

position vs time
speed and acceleration

Gaustatoppen (GAU) cam3

gnomonic
Videa
• Původní
Obrázky
• Původní
Textové soubory
• Detekce
• Pozorování
• Souřadnice
• Protokol
Jasnost