🇳🇴 🇬🇧 🇩🇪 🇨🇿 🇫🇮

Meteor Arvikan yllä 2024-12-12 01:16:25 UTC

KML-tiedosto  |  Interaktiivinen kartta

Kartta näyttää meteorin suuntahavainnot. Vaaleammat viivat näyttävät suunnat havaintoasemilta meteorin ilmestyessä, ja tummemmat viivat näyttävät, missä se viimeksi nähtiin. Sininen nuoli näyttää meteorin näkyvän lennon.

static map
height profile
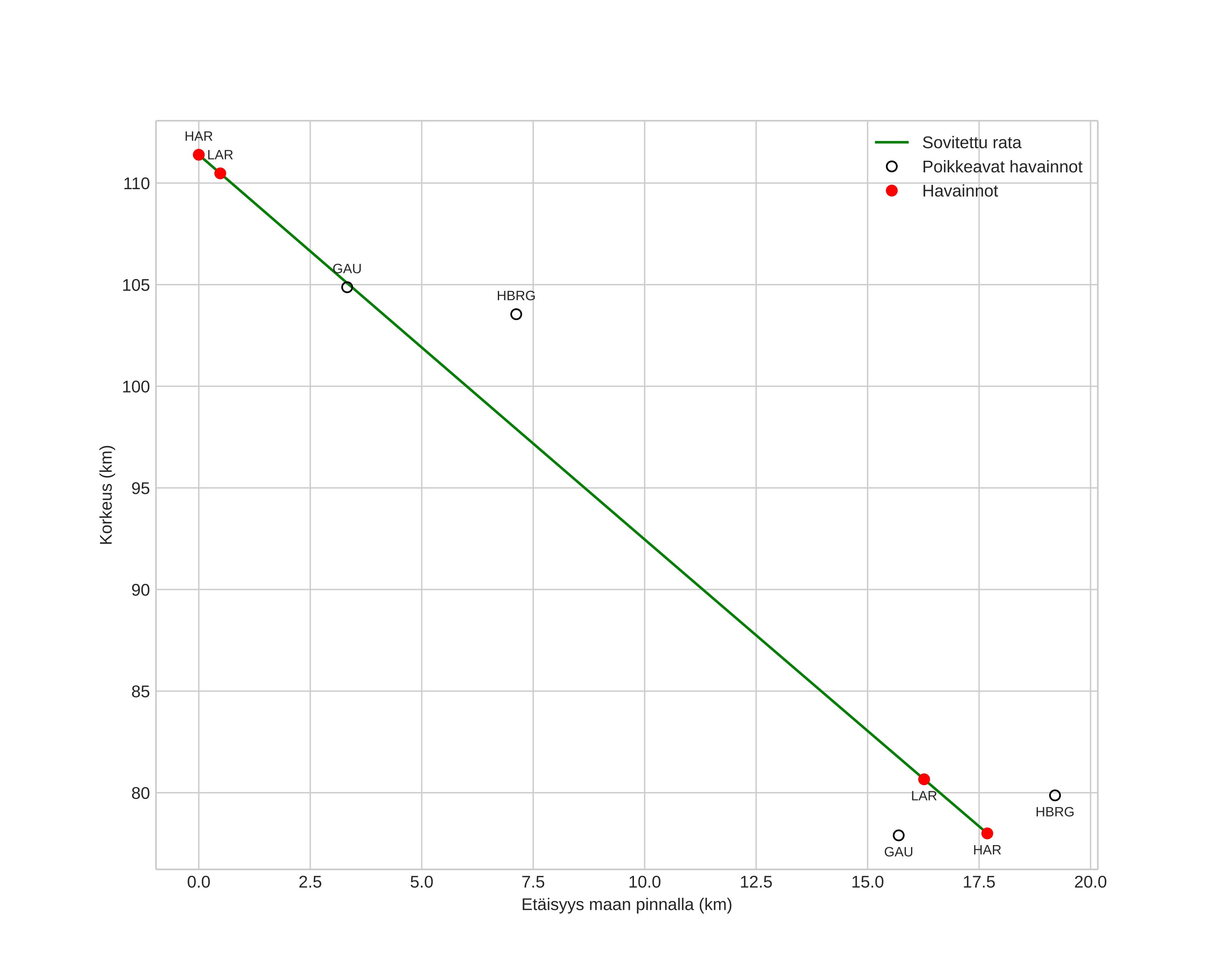
Meteorin ilmakehärata:
Alkukorkeus: 111,6 km
Loppukorkeus: 78,0 km
Alkupiste: 59,439N 12,911E
Loppupiste: 59,408N 12,603E
Suunta: 259,1°
Kallistuskulma: 62,1°
Tulonopeus: 53,9 km/s
Radiantin R,A,: 10:54 (163,7°)
Radiantin Dekl,: 53,8°
Meteoriparvi: Sporadinen
Meteoroidin rataelementit:
Perihelietäisyys: 0,739 AU
Eksentrisyys: 0,875
Inklinaatio: 95,5°
Nousevan solmun pituus: 260,2°
Perihelin argumentti: 242,3°
Keskianomalia: 357,5°
Epookki: 2024 DEC 12 01:16:25
orbit plot

Ei-interaktiivinen kuvaaja | Interaktiivinen kuvaaja

position vs time
speed and acceleration

Gaustatoppen (GAU) cam3

gnomonic
Videot:
• Alkuperäinen
Kuvat:
• Alkuperäinen
Tekstitiedostot:
• Havaintoraportti
• Observaatio
• Koordinaatit
• Loki
Kirkkaus