🇳🇴 🇬🇧 🇩🇪 🇨🇿 🇫🇮

Meteor, poloha: Elverum 2024-12-12 01:38:20 UTC

Soubor KML  |  InteraktivnĂ­ mapa

Mapa zobrazuje dráhy meteoru. Světlejší čáry ukazují směry od pozorovacích stanic při objevení se meteoru a tmavší čáry, kde byl naposledy viděn. Modrá šipka značí viditelnou dráhu meteoru.

static map
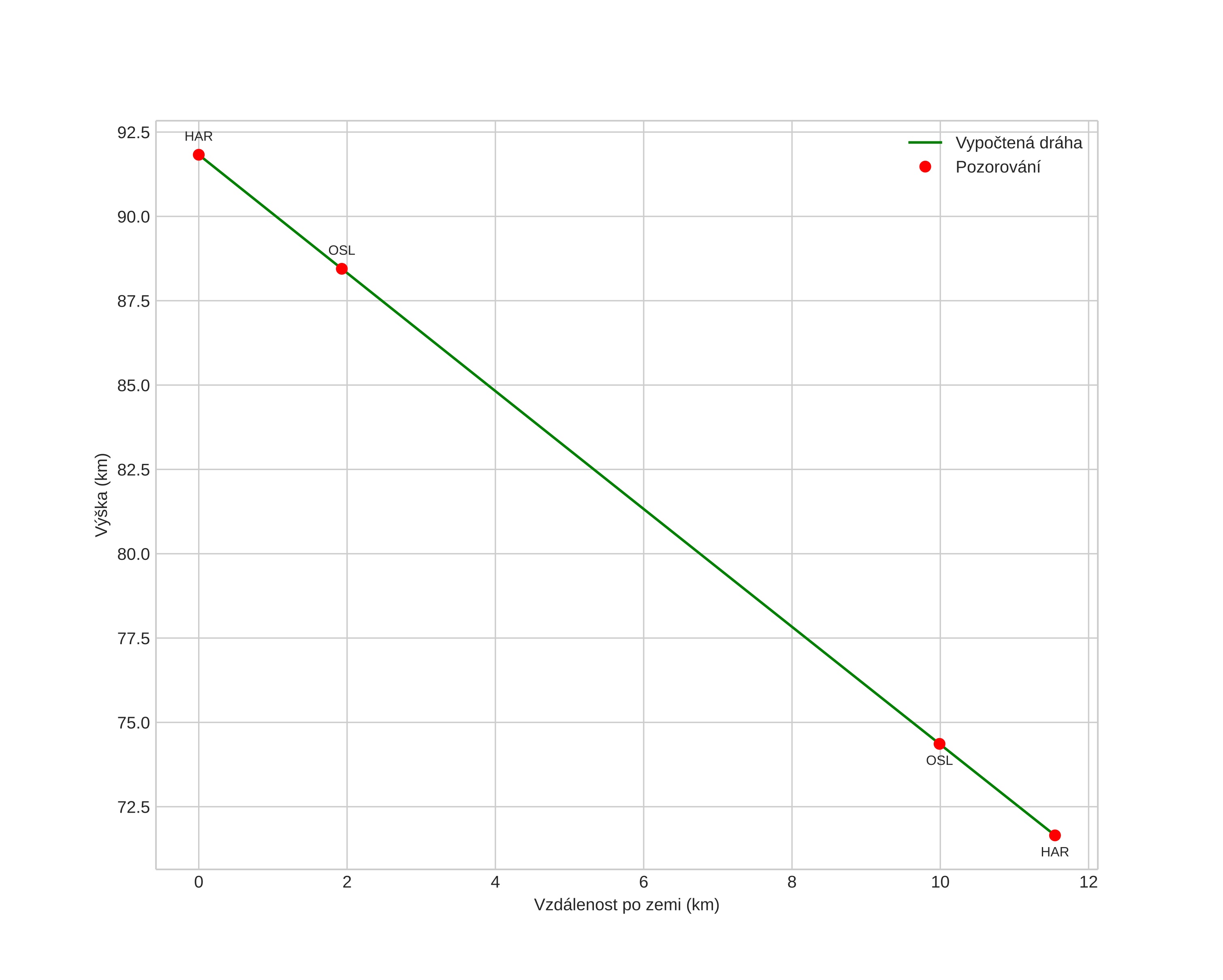
height profile
Atmosférická dráha meteoru:
Počáteční výška: 93,6 km
Konečná výška: 71,1 km
Počáteční poloha: 60,696N 11,526E
Konečná poloha: 60,799N 11,557E
Směr: 8,2°
Sklon: 62,8°
VstupnĂ­ rychlost: 33,6 km/s
Rektascenze radiantu: 07:27 (111,8°)
Deklinace radiantu: 32,8°
MeteorickĂ˝ roj: Geminidy
Elementy dráhy meteoroidu:
Vzdálenost v periheliu: 0,160 AU
Excentricita: 0,861
Sklon dráhy: 21,0°
Délka vzestupného uzlu: 260,2°
Argument perihelia: 324,0°
Střední anomálie: 328,6°
Epocha: 2024 DEC 12 01:38:20
orbit plot

NeinteraktivnĂ­ graf | InteraktivnĂ­ graf

position vs time
speed and acceleration