🇳🇴 🇬🇧 🇩🇪 🇨🇿 🇫🇮

Meteor Elverumin yllä 2024-12-12 01:38:20 UTC

KML-tiedosto  |  Interaktiivinen kartta

Kartta näyttää meteorin suuntahavainnot. Vaaleammat viivat näyttävät suunnat havaintoasemilta meteorin ilmestyessä, ja tummemmat viivat näyttävät, missä se viimeksi nähtiin. Sininen nuoli näyttää meteorin näkyvän lennon.

static map
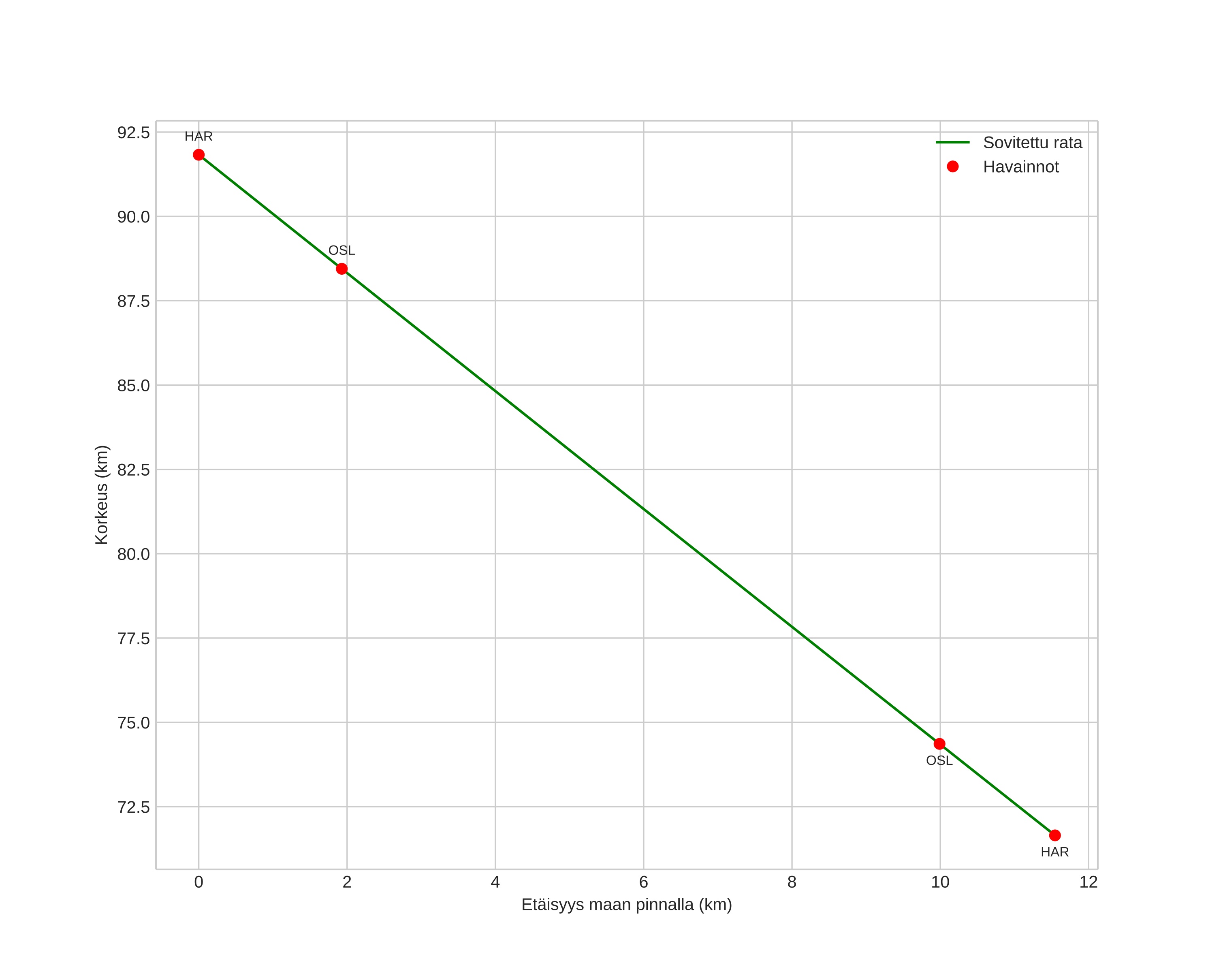
height profile
Meteorin ilmakehärata:
Alkukorkeus: 93,6 km
Loppukorkeus: 71,1 km
Alkupiste: 60,696N 11,526E
Loppupiste: 60,799N 11,557E
Suunta: 8,2°
Kallistuskulma: 62,8°
Tulonopeus: 33,6 km/s
Radiantin R,A,: 07:27 (111,8°)
Radiantin Dekl,: 32,8°
Meteoriparvi: Geminidit
Meteoroidin rataelementit:
Perihelietäisyys: 0,160 AU
Eksentrisyys: 0,861
Inklinaatio: 21,0°
Nousevan solmun pituus: 260,2°
Perihelin argumentti: 324,0°
Keskianomalia: 328,6°
Epookki: 2024 DEC 12 01:38:20
orbit plot

Ei-interaktiivinen kuvaaja | Interaktiivinen kuvaaja

position vs time
speed and acceleration