🇳🇴 🇬🇧 🇩🇪 🇨🇿 🇫🇮

Meteor, poloha: Lerum 2024-12-12 04:19:25 UTC

Soubor KML  |  InteraktivnĂ­ mapa

Mapa zobrazuje dráhy meteoru. Světlejší čáry ukazují směry od pozorovacích stanic při objevení se meteoru a tmavší čáry, kde byl naposledy viděn. Modrá šipka značí viditelnou dráhu meteoru.

static map
height profile
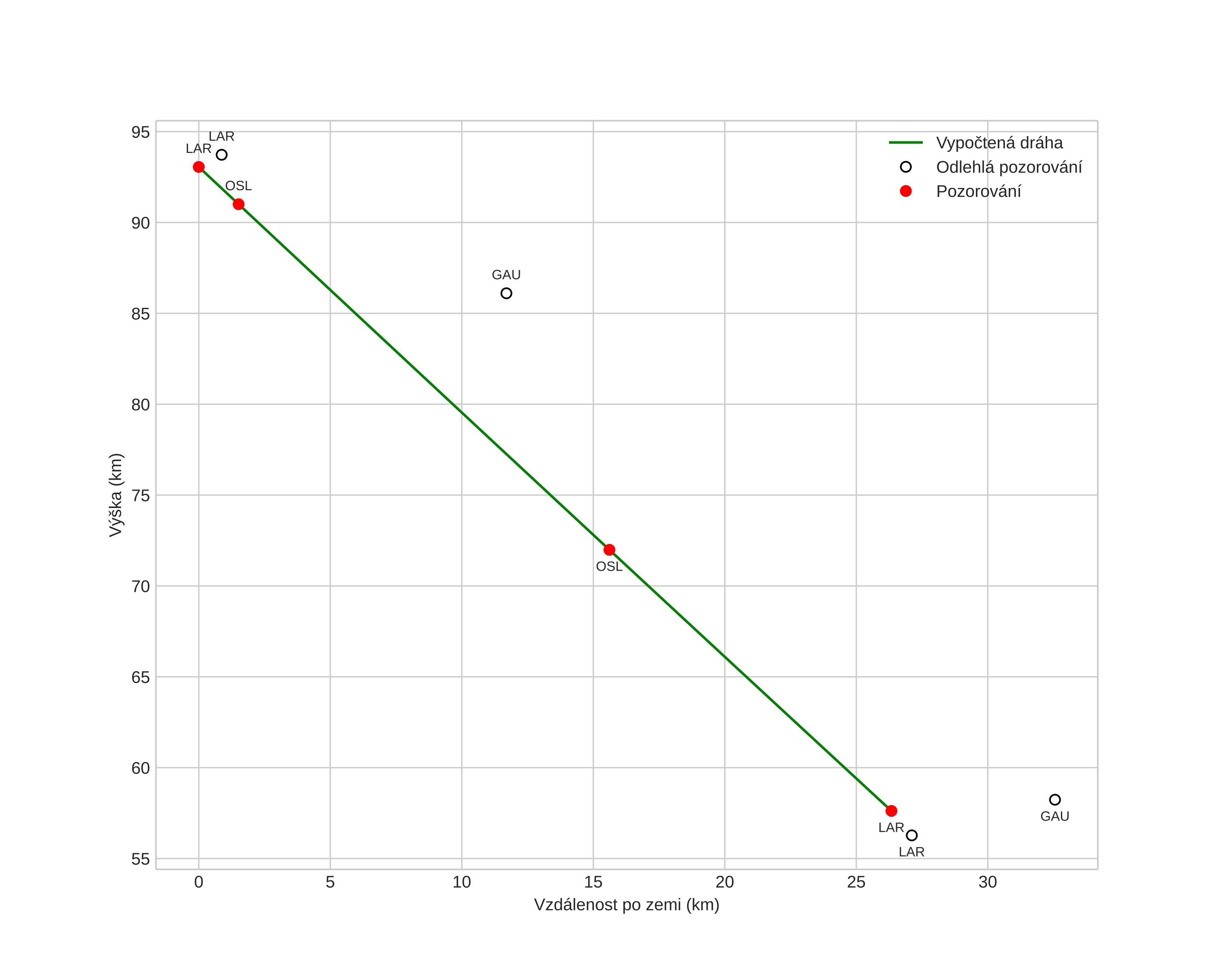
Atmosférická dráha meteoru:
Počáteční výška: 93,4 km
Konečná výška: 57,7 km
Počáteční poloha: 57,639N 11,877E
Konečná poloha: 57,733N 12,291E
Směr: 66,9°
Sklon: 53,2°
VstupnĂ­ rychlost: 34,6 km/s
Rektascenze radiantu: 07:41 (115,3°)
Deklinace radiantu: 32,4°
MeteorickĂ˝ roj: Geminidy
Elementy dráhy meteoroidu:
Vzdálenost v periheliu: 0,127 AU
Excentricita: 0,884
Sklon dráhy: 24,6°
Délka vzestupného uzlu: 260,3°
Argument perihelia: 328,8°
Střední anomálie: 327,0°
Epocha: 2024 DEC 12 04:19:25
orbit plot

NeinteraktivnĂ­ graf | InteraktivnĂ­ graf

position vs time
speed and acceleration

Gaustatoppen (GAU) cam3

gnomonic
Videa
• Původní
Obrázky
• Původní
Textové soubory
• Detekce
• Pozorování
• Souřadnice
• Protokol
Jasnost