🇳🇴 🇬🇧 🇩🇪 🇨🇿 🇫🇮

Meteor Lerumin yllä 2024-12-12 04:19:25 UTC

KML-tiedosto  |  Interaktiivinen kartta

Kartta näyttää meteorin suuntahavainnot. Vaaleammat viivat näyttävät suunnat havaintoasemilta meteorin ilmestyessä, ja tummemmat viivat näyttävät, missä se viimeksi nähtiin. Sininen nuoli näyttää meteorin näkyvän lennon.

static map
height profile
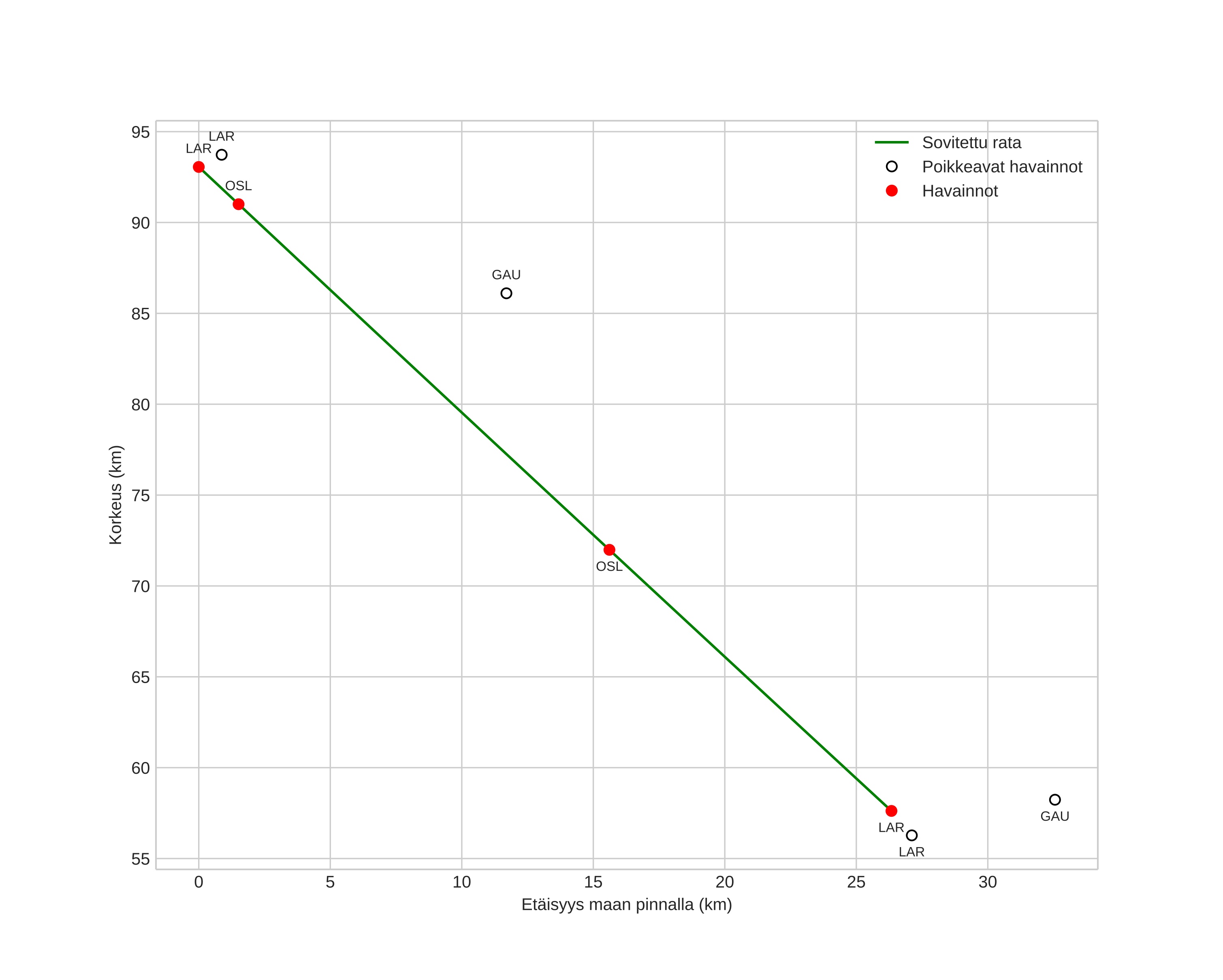
Meteorin ilmakehärata:
Alkukorkeus: 93,4 km
Loppukorkeus: 57,7 km
Alkupiste: 57,639N 11,877E
Loppupiste: 57,733N 12,291E
Suunta: 66,9°
Kallistuskulma: 53,2°
Tulonopeus: 34,6 km/s
Radiantin R,A,: 07:41 (115,3°)
Radiantin Dekl,: 32,4°
Meteoriparvi: Geminidit
Meteoroidin rataelementit:
Perihelietäisyys: 0,127 AU
Eksentrisyys: 0,884
Inklinaatio: 24,6°
Nousevan solmun pituus: 260,3°
Perihelin argumentti: 328,8°
Keskianomalia: 327,0°
Epookki: 2024 DEC 12 04:19:25
orbit plot

Ei-interaktiivinen kuvaaja | Interaktiivinen kuvaaja

position vs time
speed and acceleration

Gaustatoppen (GAU) cam3

gnomonic
Videot:
• Alkuperäinen
Kuvat:
• Alkuperäinen
Tekstitiedostot:
• Havaintoraportti
• Observaatio
• Koordinaatit
• Loki
Kirkkaus