🇳🇴 🇬🇧 🇩🇪 🇨🇿 🇫🇮

Meteor, poloha: Skotterud 2024-12-12 05:01:55 UTC

Soubor KML

Mapa zobrazuje dráhy meteoru. Světlejší čáry ukazují směry od pozorovacích stanic při objevení se meteoru a tmavší čáry, kde byl naposledy viděn. Modrá šipka značí viditelnou dráhu meteoru.

static map
height profile
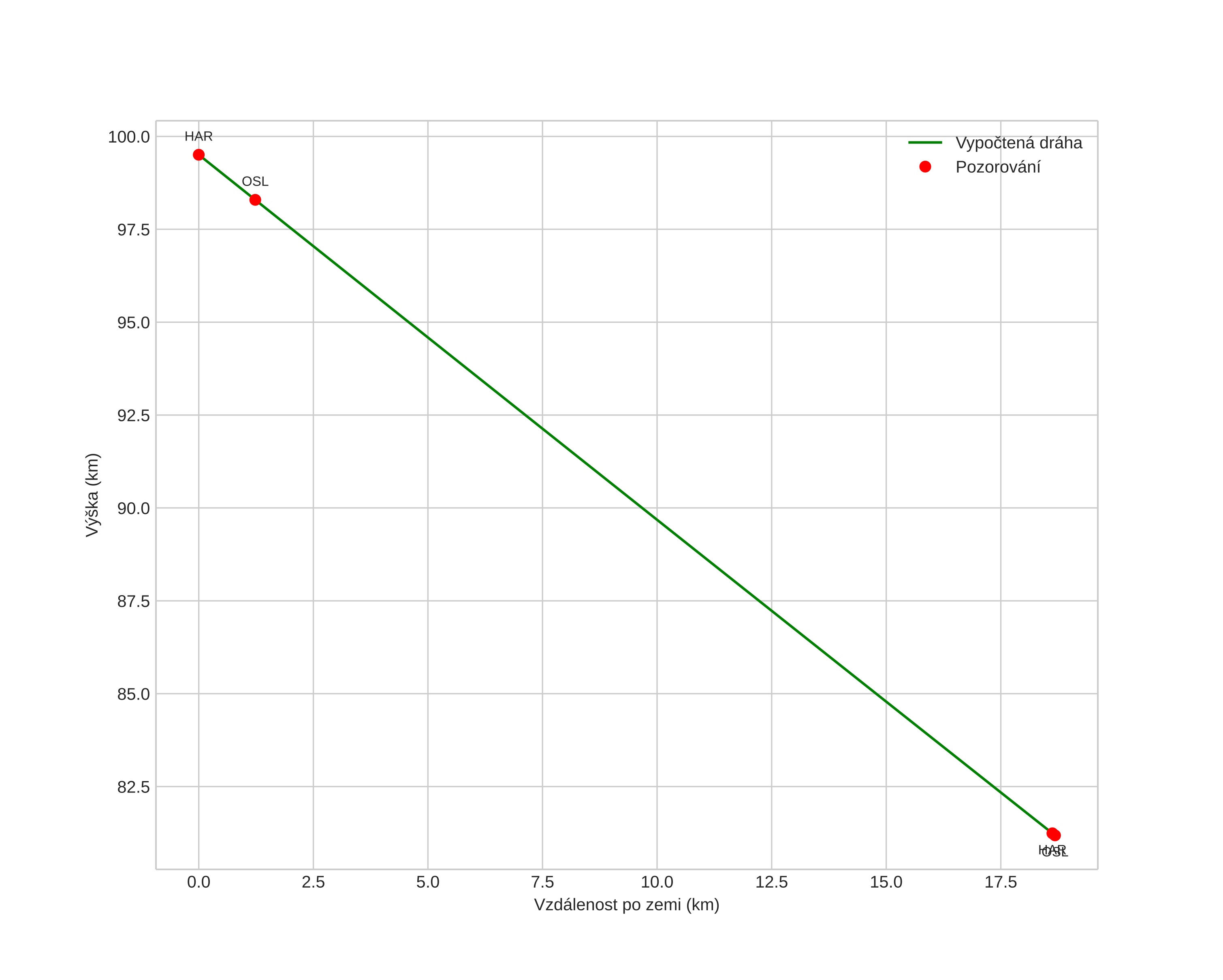
Atmosférická dráha meteoru:
Počáteční výška: 99,5 km
Konečná výška: 81,2 km
Počáteční poloha: 60,097N 11,802E
Konečná poloha: 60,127N 12,134E
Směr: 79,5°
Sklon: 44,4°
VstupnĂ­ rychlost: 36,3 km/s
Rektascenze radiantu: 07:22 (110,6°)
Deklinace radiantu: 31,6°
MeteorickĂ˝ roj: Geminidy
Elementy dráhy meteoroidu:
Vzdálenost v periheliu: 0,140 AU
Excentricita: 0,902
Sklon dráhy: 21,5°
Délka vzestupného uzlu: 260,3°
Argument perihelia: 324,0°
Střední anomálie: 338,6°
Epocha: 2024 DEC 12 05:01:55
orbit plot

NeinteraktivnĂ­ graf

position vs time
speed and acceleration