🇳🇴 🇬🇧 🇩🇪 🇨🇿 🇫🇮

Meteor Kongsvingerin yllä 2024-12-12 05:01:55 UTC

KML-tiedosto  |  Interaktiivinen kartta

Kartta näyttää meteorin suuntahavainnot. Vaaleammat viivat näyttävät suunnat havaintoasemilta meteorin ilmestyessä, ja tummemmat viivat näyttävät, missä se viimeksi nähtiin. Sininen nuoli näyttää meteorin näkyvän lennon.

static map
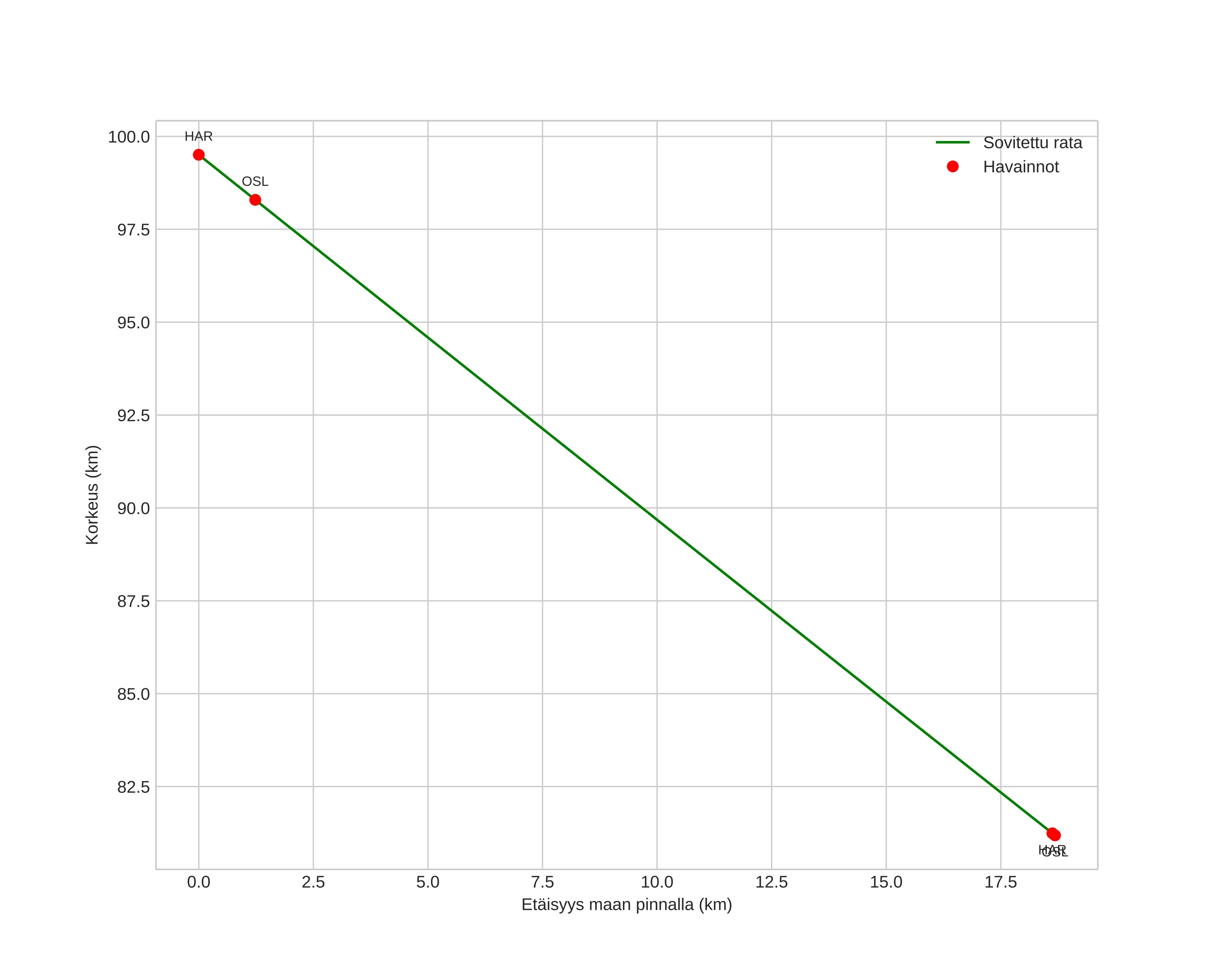
height profile
Meteorin ilmakehärata:
Alkukorkeus: 98,7 km
Loppukorkeus: 79,9 km
Alkupiste: 60,097N 11,796E
Loppupiste: 60,127N 12,112E
Suunta: 79,2°
Kallistuskulma: 46,5°
Tulonopeus: 36,1 km/s
Radiantin R,A,: 07:28 (112,2°)
Radiantin Dekl,: 33,2°
Meteoriparvi: Geminidit
Meteoroidin rataelementit:
Perihelietäisyys: 0,140 AU
Eksentrisyys: 0,896
Inklinaatio: 25,5°
Nousevan solmun pituus: 260,3°
Perihelin argumentti: 324,6°
Keskianomalia: 336,3°
Epookki: 2024 DEC 12 05:01:55
orbit plot

Ei-interaktiivinen kuvaaja | Interaktiivinen kuvaaja

position vs time
speed and acceleration