🇳🇴 🇬🇧 🇩🇪 🇨🇿 🇫🇮

Meteor, poloha: Meieribyen 2024-12-12 06:38:04 UTC

Soubor KML  |  InteraktivnĂ­ mapa

Mapa zobrazuje dráhy meteoru. Světlejší čáry ukazují směry od pozorovacích stanic při objevení se meteoru a tmavší čáry, kde byl naposledy viděn. Modrá šipka značí viditelnou dráhu meteoru.

static map
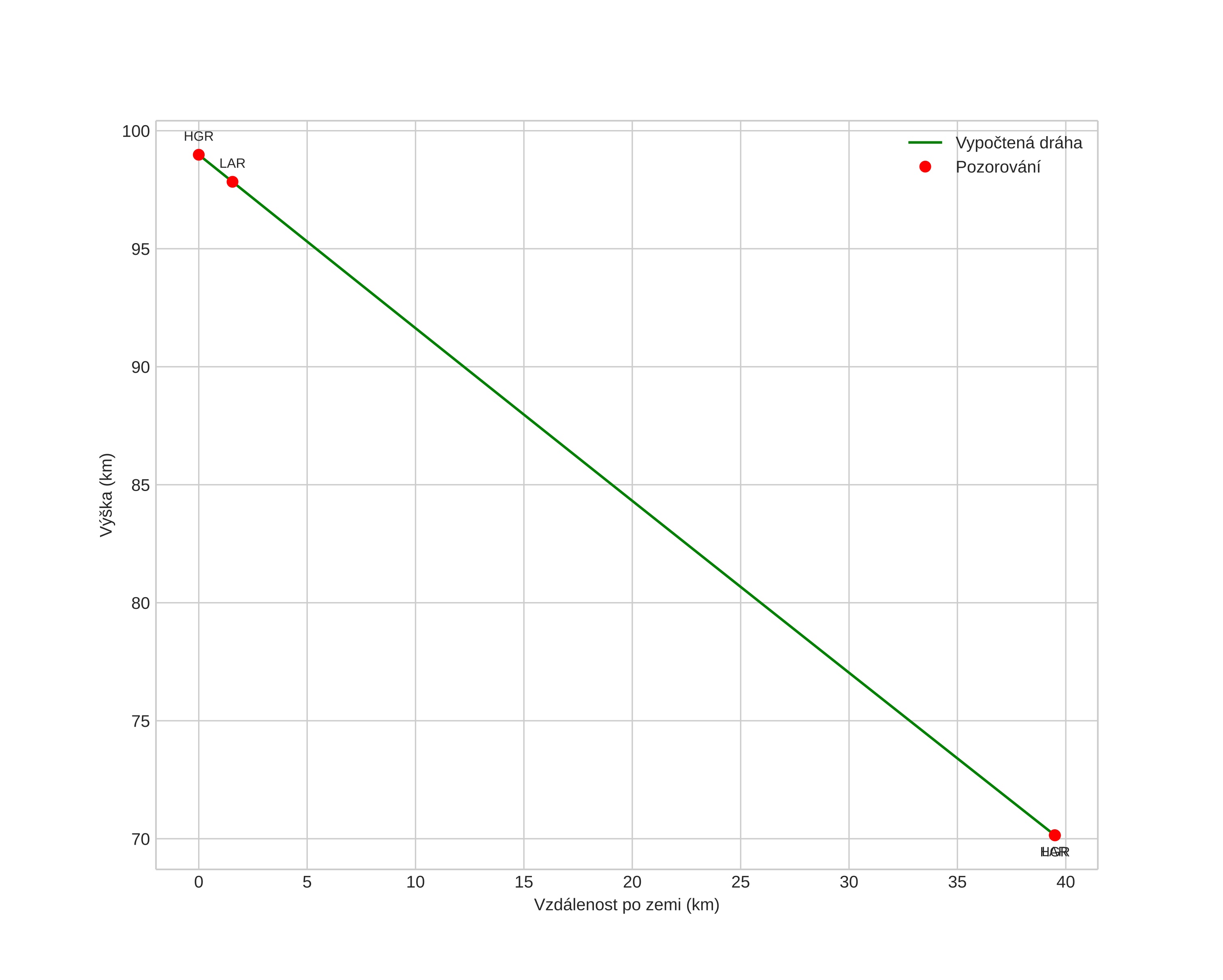
height profile
Atmosférická dráha meteoru:
Počáteční výška: 99,0 km
Konečná výška: 70,1 km
Počáteční poloha: 59,503N 10,346E
Konečná poloha: 59,443N 11,038E
Směr: 99,4°
Sklon: 36,1°
VstupnĂ­ rychlost: 35,2 km/s
Rektascenze radiantu: 07:31 (112,8°)
Deklinace radiantu: 33,7°
MeteorickĂ˝ roj: Geminidy
Elementy dráhy meteoroidu:
Vzdálenost v periheliu: 0,147 AU
Excentricita: 0,883
Sklon dráhy: 25,5°
Délka vzestupného uzlu: 260,4°
Argument perihelia: 324,6°
Střední anomálie: 333,2°
Epocha: 2024 DEC 12 06:38:04
orbit plot

NeinteraktivnĂ­ graf | InteraktivnĂ­ graf

position vs time
speed and acceleration