🇳🇴 🇬🇧 🇩🇪 🇨🇿 🇫🇮

Meteor Meieribyenin yllä 2024-12-12 06:38:04 UTC

KML-tiedosto  |  Interaktiivinen kartta

Kartta näyttää meteorin suuntahavainnot. Vaaleammat viivat näyttävät suunnat havaintoasemilta meteorin ilmestyessä, ja tummemmat viivat näyttävät, missä se viimeksi nähtiin. Sininen nuoli näyttää meteorin näkyvän lennon.

static map
height profile
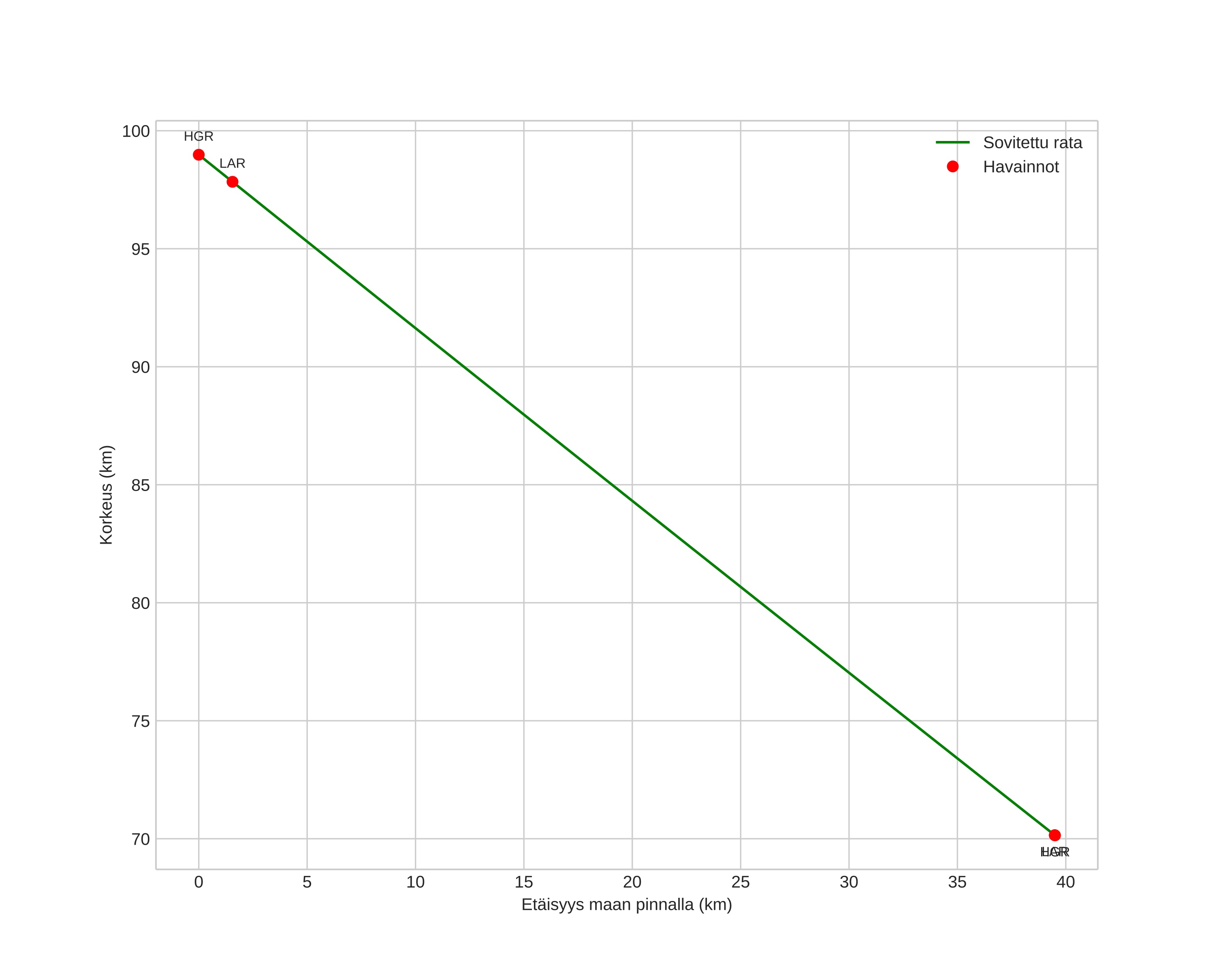
Meteorin ilmakehärata:
Alkukorkeus: 99,0 km
Loppukorkeus: 70,1 km
Alkupiste: 59,503N 10,346E
Loppupiste: 59,443N 11,038E
Suunta: 99,4°
Kallistuskulma: 36,1°
Tulonopeus: 35,2 km/s
Radiantin R,A,: 07:31 (112,8°)
Radiantin Dekl,: 33,7°
Meteoriparvi: Geminidit
Meteoroidin rataelementit:
Perihelietäisyys: 0,147 AU
Eksentrisyys: 0,883
Inklinaatio: 25,5°
Nousevan solmun pituus: 260,4°
Perihelin argumentti: 324,6°
Keskianomalia: 333,2°
Epookki: 2024 DEC 12 06:38:04
orbit plot

Ei-interaktiivinen kuvaaja | Interaktiivinen kuvaaja

position vs time
speed and acceleration

Larvik (LAR) cam2


gnomonic
Videot:
• Gnomoninen
• Gnomoninen koordinaateilla
• Alkuperäinen
• Alkuperäinen koordinaateilla
Kuvat:
• Gnomoninen
• Gnomoninen koordinaateilla
• Gnomoninen merkinnöillä
• Alkuperäinen
• Alkuperäinen koordinaateilla
• Alkuperäinen maskilla
Tekstitiedostot:
• Havaintoraportti
• Observaatio
• Koordinaatit
• Virheilmoitukset
• Loki
Kirkkaus