🇳🇴 🇬🇧 🇩🇪 🇨🇿 🇫🇮

Meteor, poloha: Myra 2024-12-12 18:34:35 UTC

Soubor KML  |  InteraktivnĂ­ mapa

Mapa zobrazuje dráhy meteoru. Světlejší čáry ukazují směry od pozorovacích stanic při objevení se meteoru a tmavší čáry, kde byl naposledy viděn. Modrá šipka značí viditelnou dráhu meteoru.

static map
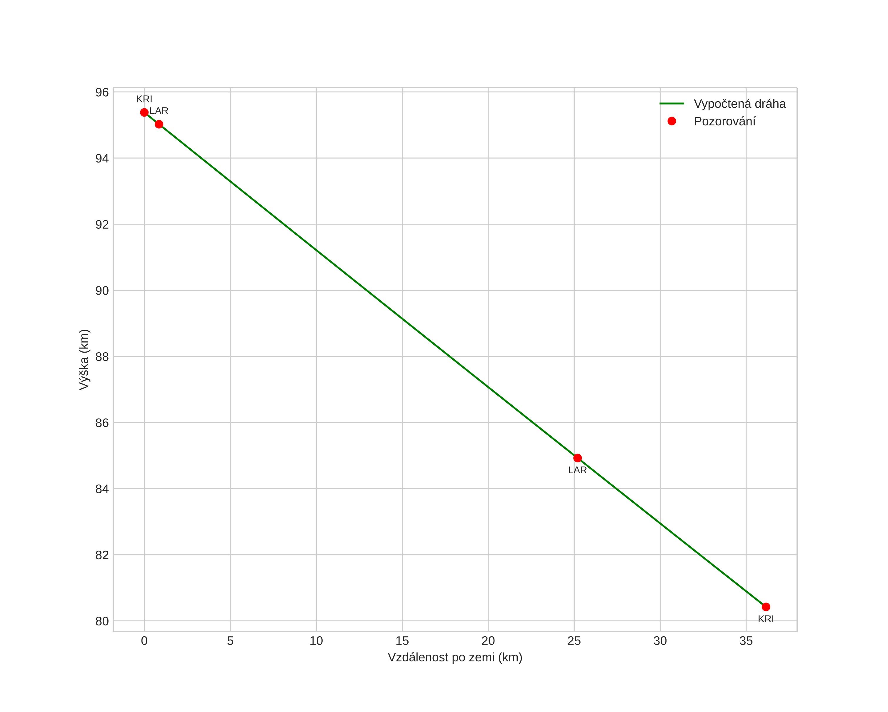
height profile
Atmosférická dráha meteoru:
Počáteční výška: 92,7 km
Konečná výška: 84,3 km
Počáteční poloha: 58,855N 9,207E
Konečná poloha: 58,773N 8,909E
Směr: 242,0°
Sklon: 23,4°
VstupnĂ­ rychlost: 34,8 km/s
Rektascenze radiantu: 07:28 (112,1°)
Deklinace radiantu: 32,7°
MeteorickĂ˝ roj: Geminidy
Elementy dráhy meteoroidu:
Vzdálenost v periheliu: 0,156 AU
Excentricita: 0,875
Sklon dráhy: 22,0°
Délka vzestupného uzlu: 260,9°
Argument perihelia: 323,5°
Střední anomálie: 332,5°
Epocha: 2024 DEC 12 18:34:35
orbit plot

NeinteraktivnĂ­ graf | InteraktivnĂ­ graf

position vs time
speed and acceleration