🇳🇴 🇬🇧 🇩🇪 🇨🇿 🇫🇮

Meteor Myran yllä 2024-12-12 18:34:35 UTC

KML-tiedosto  |  Interaktiivinen kartta

Kartta näyttää meteorin suuntahavainnot. Vaaleammat viivat näyttävät suunnat havaintoasemilta meteorin ilmestyessä, ja tummemmat viivat näyttävät, missä se viimeksi nähtiin. Sininen nuoli näyttää meteorin näkyvän lennon.

static map
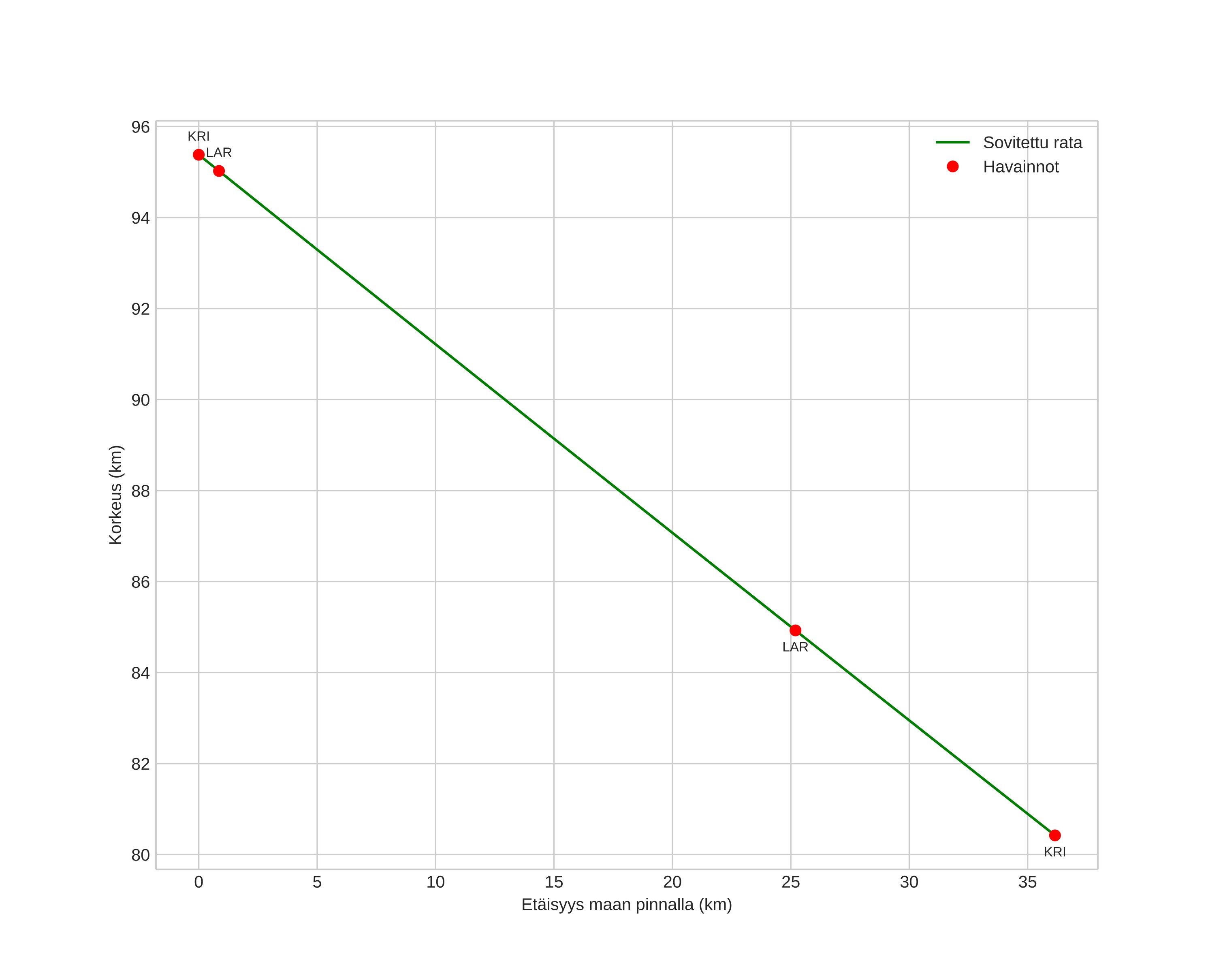
height profile
Meteorin ilmakehärata:
Alkukorkeus: 92,7 km
Loppukorkeus: 84,3 km
Alkupiste: 58,855N 9,207E
Loppupiste: 58,773N 8,909E
Suunta: 242,0°
Kallistuskulma: 23,4°
Tulonopeus: 34,8 km/s
Radiantin R,A,: 07:28 (112,1°)
Radiantin Dekl,: 32,7°
Meteoriparvi: Geminidit
Meteoroidin rataelementit:
Perihelietäisyys: 0,156 AU
Eksentrisyys: 0,875
Inklinaatio: 22,0°
Nousevan solmun pituus: 260,9°
Perihelin argumentti: 323,5°
Keskianomalia: 332,5°
Epookki: 2024 DEC 12 18:34:35
orbit plot

Ei-interaktiivinen kuvaaja | Interaktiivinen kuvaaja

position vs time
speed and acceleration