🇳🇴 🇬🇧 🇩🇪 🇨🇿 🇫🇮

Meteor, poloha: Hov 2024-12-12 21:35:44 UTC

Soubor KML  |  InteraktivnĂ­ mapa

Mapa zobrazuje dráhy meteoru. Světlejší čáry ukazují směry od pozorovacích stanic při objevení se meteoru a tmavší čáry, kde byl naposledy viděn. Modrá šipka značí viditelnou dráhu meteoru.

static map
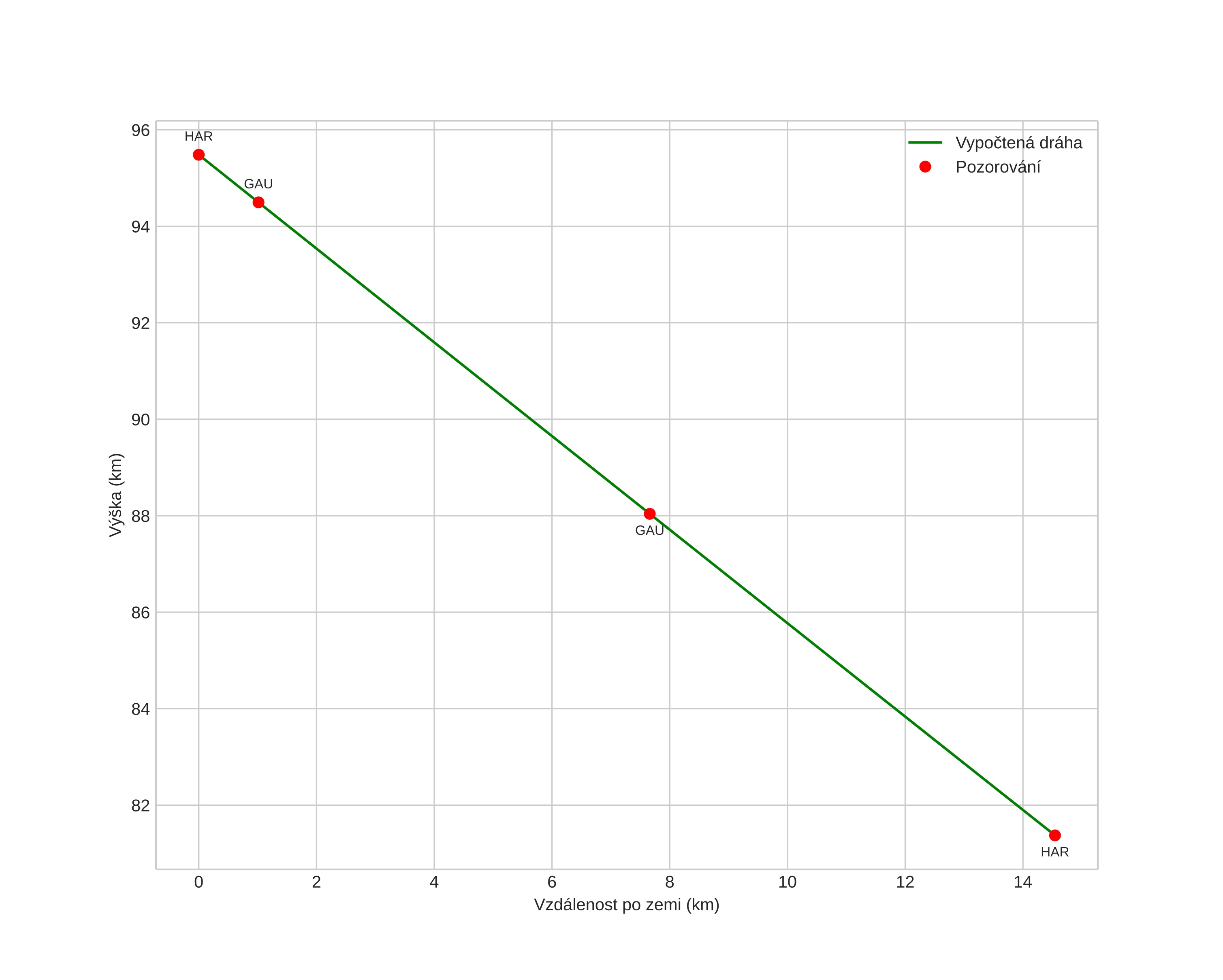
height profile
Atmosférická dráha meteoru:
Počáteční výška: 95,4 km
Konečná výška: 82,2 km
Počáteční poloha: 60,750N 10,180E
Konečná poloha: 60,628N 10,210E
Směr: 173,2°
Sklon: 44,0°
VstupnĂ­ rychlost: 33,0 km/s
Rektascenze radiantu: 16:53 (253,4°)
Deklinace radiantu: 71,4°
MeteorickĂ˝ roj: sporadickĂ˝
Elementy dráhy meteoroidu:
Vzdálenost v periheliu: 0,980 AU
Excentricita: 0,873
Sklon dráhy: 48,9°
Délka vzestupného uzlu: 261,0°
Argument perihelia: 188,1°
Střední anomálie: 359,7°
Epocha: 2024 DEC 12 21:35:44
orbit plot

NeinteraktivnĂ­ graf | InteraktivnĂ­ graf

position vs time
speed and acceleration

Gaustatoppen (GAU) cam6

gnomonic
Videa
• Původní
Obrázky
• Původní
Textové soubory
• Detekce
• Pozorování
• Souřadnice
• Protokol
Jasnost