🇳🇴 🇬🇧 🇩🇪 🇨🇿 🇫🇮

Meteor Hovin yllä 2024-12-12 21:35:44 UTC

KML-tiedosto  |  Interaktiivinen kartta

Kartta näyttää meteorin suuntahavainnot. Vaaleammat viivat näyttävät suunnat havaintoasemilta meteorin ilmestyessä, ja tummemmat viivat näyttävät, missä se viimeksi nähtiin. Sininen nuoli näyttää meteorin näkyvän lennon.

static map
height profile
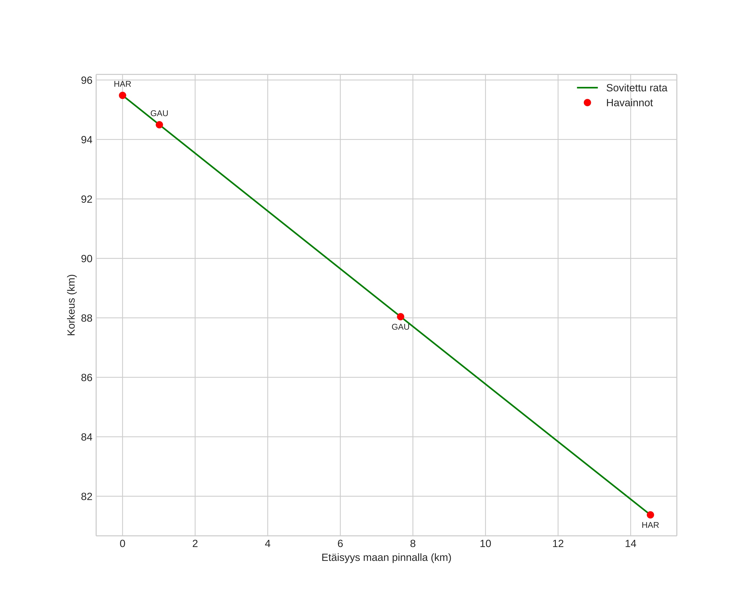
Meteorin ilmakehärata:
Alkukorkeus: 95,4 km
Loppukorkeus: 82,2 km
Alkupiste: 60,750N 10,180E
Loppupiste: 60,628N 10,210E
Suunta: 173,2°
Kallistuskulma: 44,0°
Tulonopeus: 33,0 km/s
Radiantin R,A,: 16:53 (253,4°)
Radiantin Dekl,: 71,4°
Meteoriparvi: Sporadinen
Meteoroidin rataelementit:
Perihelietäisyys: 0,980 AU
Eksentrisyys: 0,873
Inklinaatio: 48,9°
Nousevan solmun pituus: 261,0°
Perihelin argumentti: 188,1°
Keskianomalia: 359,7°
Epookki: 2024 DEC 12 21:35:44
orbit plot

Ei-interaktiivinen kuvaaja | Interaktiivinen kuvaaja

position vs time
speed and acceleration

Gaustatoppen (GAU) cam6

gnomonic
Videot:
• Alkuperäinen
Kuvat:
• Alkuperäinen
Tekstitiedostot:
• Havaintoraportti
• Observaatio
• Koordinaatit
• Loki
Kirkkaus