🇳🇴 🇬🇧 🇩🇪 🇨🇿 🇫🇮

Meteor, poloha: Maura 2024-12-12 21:49:36 UTC

Soubor KML  |  InteraktivnĂ­ mapa

Mapa zobrazuje dráhy meteoru. Světlejší čáry ukazují směry od pozorovacích stanic při objevení se meteoru a tmavší čáry, kde byl naposledy viděn. Modrá šipka značí viditelnou dráhu meteoru.

static map
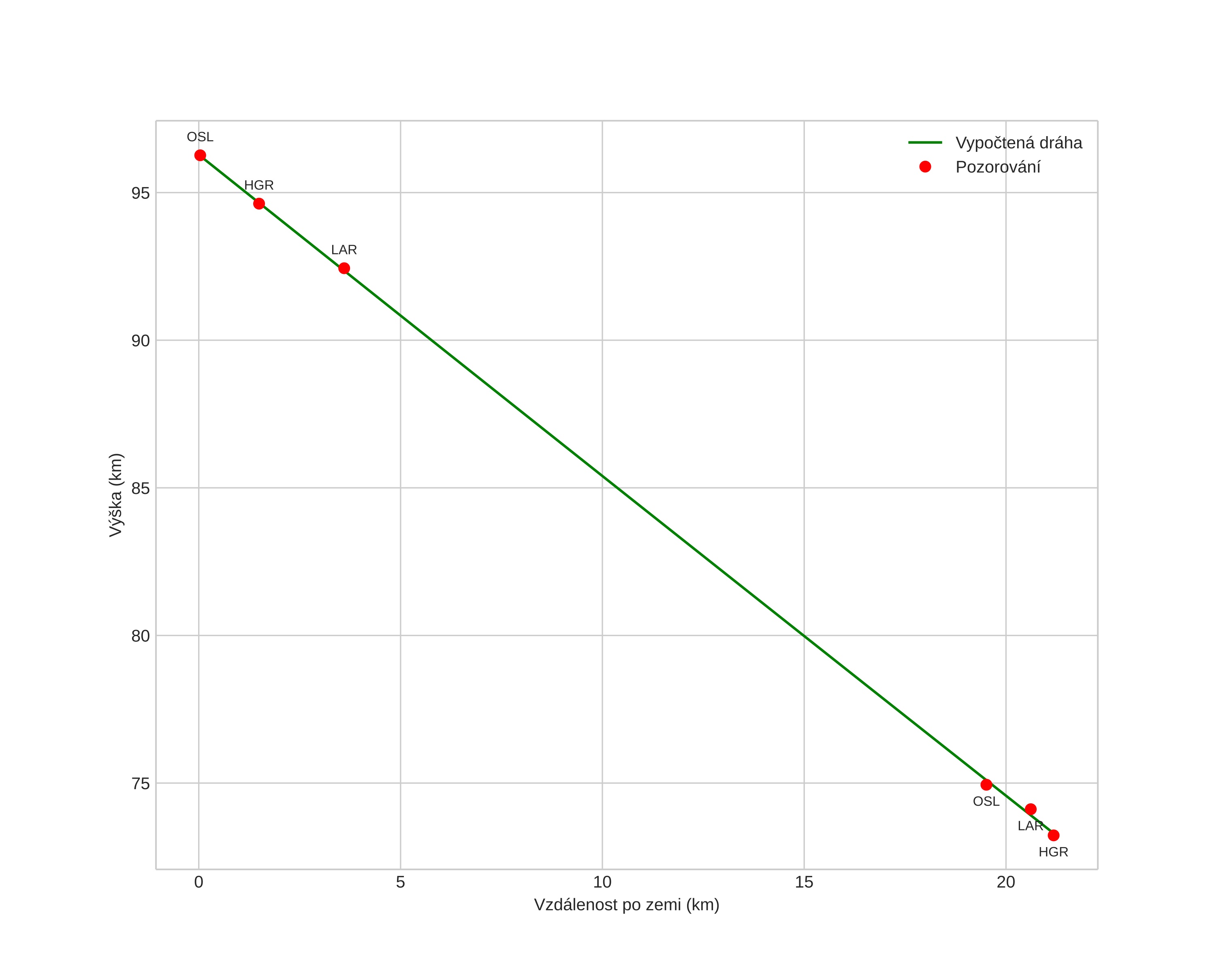
height profile
Atmosférická dráha meteoru:
Počáteční výška: 98,3 km
Konečná výška: 73,4 km
Počáteční poloha: 60,271N 11,284E
Konečná poloha: 60,331N 10,885E
Směr: 287,2°
Sklon: 47,2°
VstupnĂ­ rychlost: 37,9 km/s
Rektascenze radiantu: 07:23 (110,9°)
Deklinace radiantu: 31,8°
MeteorickĂ˝ roj: Geminidy
Elementy dráhy meteoroidu:
Vzdálenost v periheliu: 0,135 AU
Excentricita: 0,917
Sklon dráhy: 23,2°
Délka vzestupného uzlu: 261,0°
Argument perihelia: 323,5°
Střední anomálie: 342,9°
Epocha: 2024 DEC 12 21:49:36
orbit plot

NeinteraktivnĂ­ graf | InteraktivnĂ­ graf

position vs time
speed and acceleration