🇳🇴 🇬🇧 🇩🇪 🇨🇿 🇫🇮

Meteor Mauran yllä 2024-12-12 21:49:36 UTC

KML-tiedosto  |  Interaktiivinen kartta

Kartta näyttää meteorin suuntahavainnot. Vaaleammat viivat näyttävät suunnat havaintoasemilta meteorin ilmestyessä, ja tummemmat viivat näyttävät, missä se viimeksi nähtiin. Sininen nuoli näyttää meteorin näkyvän lennon.

static map
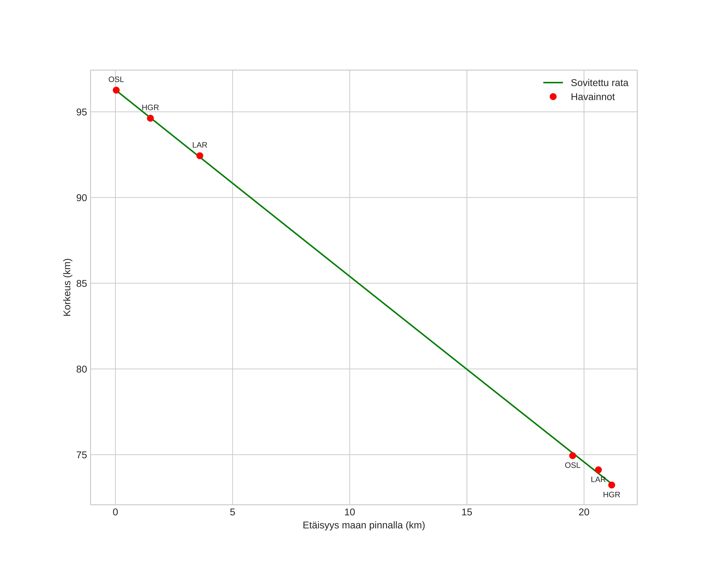
height profile
Meteorin ilmakehärata:
Alkukorkeus: 98,3 km
Loppukorkeus: 73,4 km
Alkupiste: 60,271N 11,284E
Loppupiste: 60,331N 10,885E
Suunta: 287,2°
Kallistuskulma: 47,2°
Tulonopeus: 37,9 km/s
Radiantin R,A,: 07:23 (110,9°)
Radiantin Dekl,: 31,8°
Meteoriparvi: Geminidit
Meteoroidin rataelementit:
Perihelietäisyys: 0,135 AU
Eksentrisyys: 0,917
Inklinaatio: 23,2°
Nousevan solmun pituus: 261,0°
Perihelin argumentti: 323,5°
Keskianomalia: 342,9°
Epookki: 2024 DEC 12 21:49:36
orbit plot

Ei-interaktiivinen kuvaaja | Interaktiivinen kuvaaja

position vs time
speed and acceleration