🇳🇴 🇬🇧 🇩🇪 🇨🇿 🇫🇮

Meteor, poloha: Lervik 2024-12-12 22:45:06 UTC

Soubor KML  |  InteraktivnĂ­ mapa

Mapa zobrazuje dráhy meteoru. Světlejší čáry ukazují směry od pozorovacích stanic při objevení se meteoru a tmavší čáry, kde byl naposledy viděn. Modrá šipka značí viditelnou dráhu meteoru.

static map
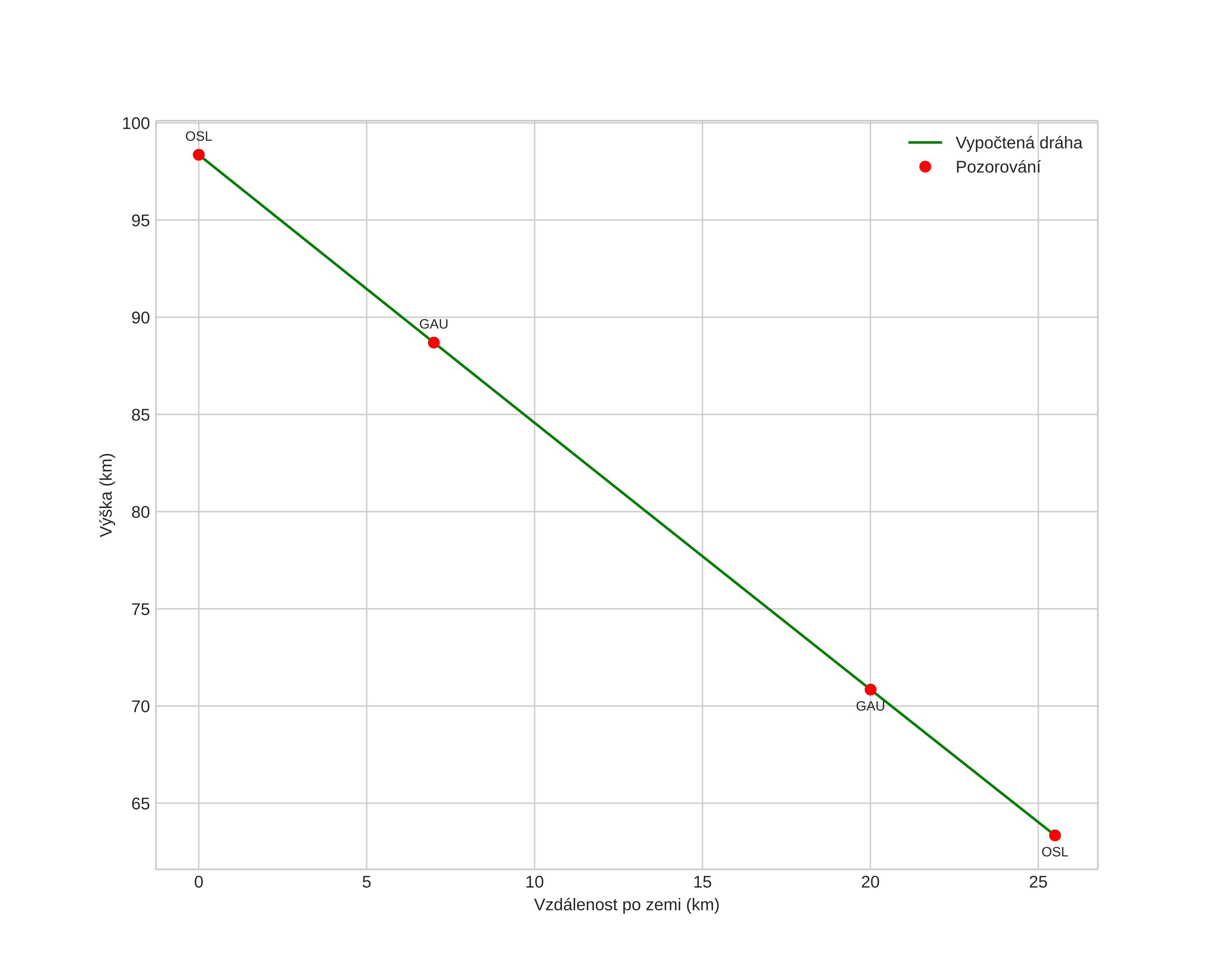
height profile
Atmosférická dráha meteoru:
Počáteční výška: 92,4 km
Konečná výška: 68,6 km
Počáteční poloha: 58,850N 10,957E
Konečná poloha: 58,929N 10,696E
Směr: 300,3°
Sklon: 53,9°
VstupnĂ­ rychlost: 36,1 km/s
Rektascenze radiantu: 07:24 (111,1°)
Deklinace radiantu: 31,8°
MeteorickĂ˝ roj: Geminidy
Elementy dráhy meteoroidu:
Vzdálenost v periheliu: 0,147 AU
Excentricita: 0,895
Sklon dráhy: 21,1°
Délka vzestupného uzlu: 261,1°
Argument perihelia: 323,2°
Střední anomálie: 337,8°
Epocha: 2024 DEC 12 22:45:06
orbit plot

NeinteraktivnĂ­ graf | InteraktivnĂ­ graf

position vs time
speed and acceleration

Gaustatoppen (GAU) cam3

gnomonic
Videa
• Původní
Obrázky
• Původní
Textové soubory
• Detekce
• Pozorování
• Souřadnice
• Protokol
Jasnost