🇳🇴 🇬🇧 🇩🇪 🇨🇿 🇫🇮

Meteor Lervikin yllä 2024-12-12 22:45:06 UTC

KML-tiedosto  |  Interaktiivinen kartta

Kartta näyttää meteorin suuntahavainnot. Vaaleammat viivat näyttävät suunnat havaintoasemilta meteorin ilmestyessä, ja tummemmat viivat näyttävät, missä se viimeksi nähtiin. Sininen nuoli näyttää meteorin näkyvän lennon.

static map
height profile
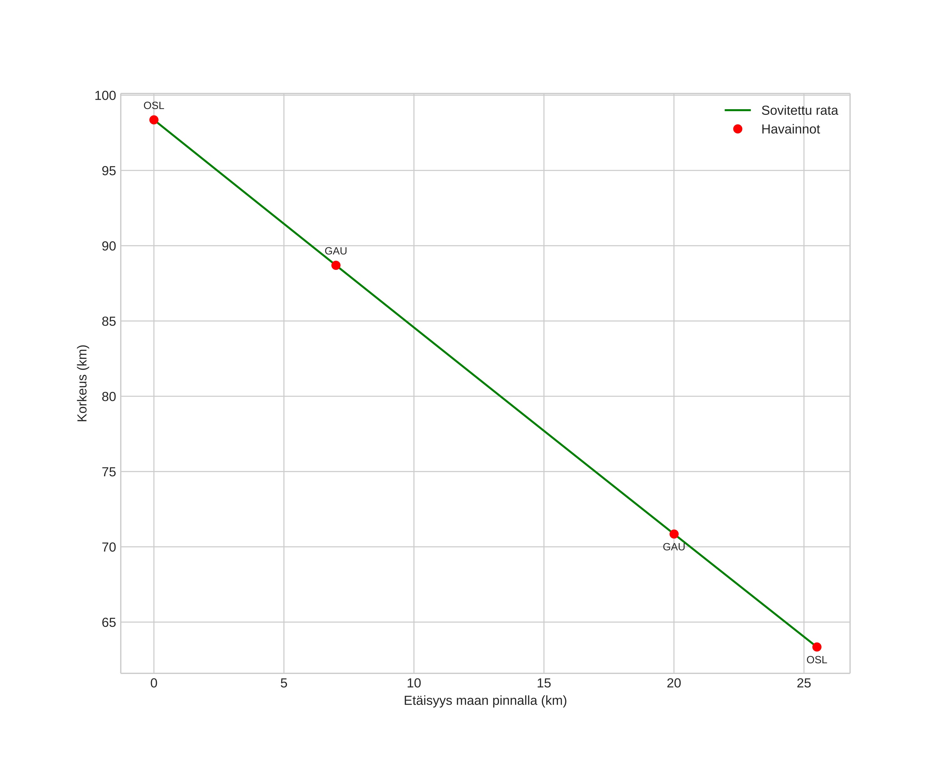
Meteorin ilmakehärata:
Alkukorkeus: 92,4 km
Loppukorkeus: 68,6 km
Alkupiste: 58,850N 10,957E
Loppupiste: 58,929N 10,696E
Suunta: 300,3°
Kallistuskulma: 53,9°
Tulonopeus: 36,1 km/s
Radiantin R,A,: 07:24 (111,1°)
Radiantin Dekl,: 31,8°
Meteoriparvi: Geminidit
Meteoroidin rataelementit:
Perihelietäisyys: 0,147 AU
Eksentrisyys: 0,895
Inklinaatio: 21,1°
Nousevan solmun pituus: 261,1°
Perihelin argumentti: 323,2°
Keskianomalia: 337,8°
Epookki: 2024 DEC 12 22:45:06
orbit plot

Ei-interaktiivinen kuvaaja | Interaktiivinen kuvaaja

position vs time
speed and acceleration

Gaustatoppen (GAU) cam3

gnomonic
Videot:
• Alkuperäinen
Kuvat:
• Alkuperäinen
Tekstitiedostot:
• Havaintoraportti
• Observaatio
• Koordinaatit
• Loki
Kirkkaus