🇳🇴 🇬🇧 🇩🇪 🇨🇿 🇫🇮

Meteor, poloha: Dokka 2024-12-12 22:56:13 UTC

Soubor KML  |  InteraktivnĂ­ mapa

Mapa zobrazuje dráhy meteoru. Světlejší čáry ukazují směry od pozorovacích stanic při objevení se meteoru a tmavší čáry, kde byl naposledy viděn. Modrá šipka značí viditelnou dráhu meteoru.

static map
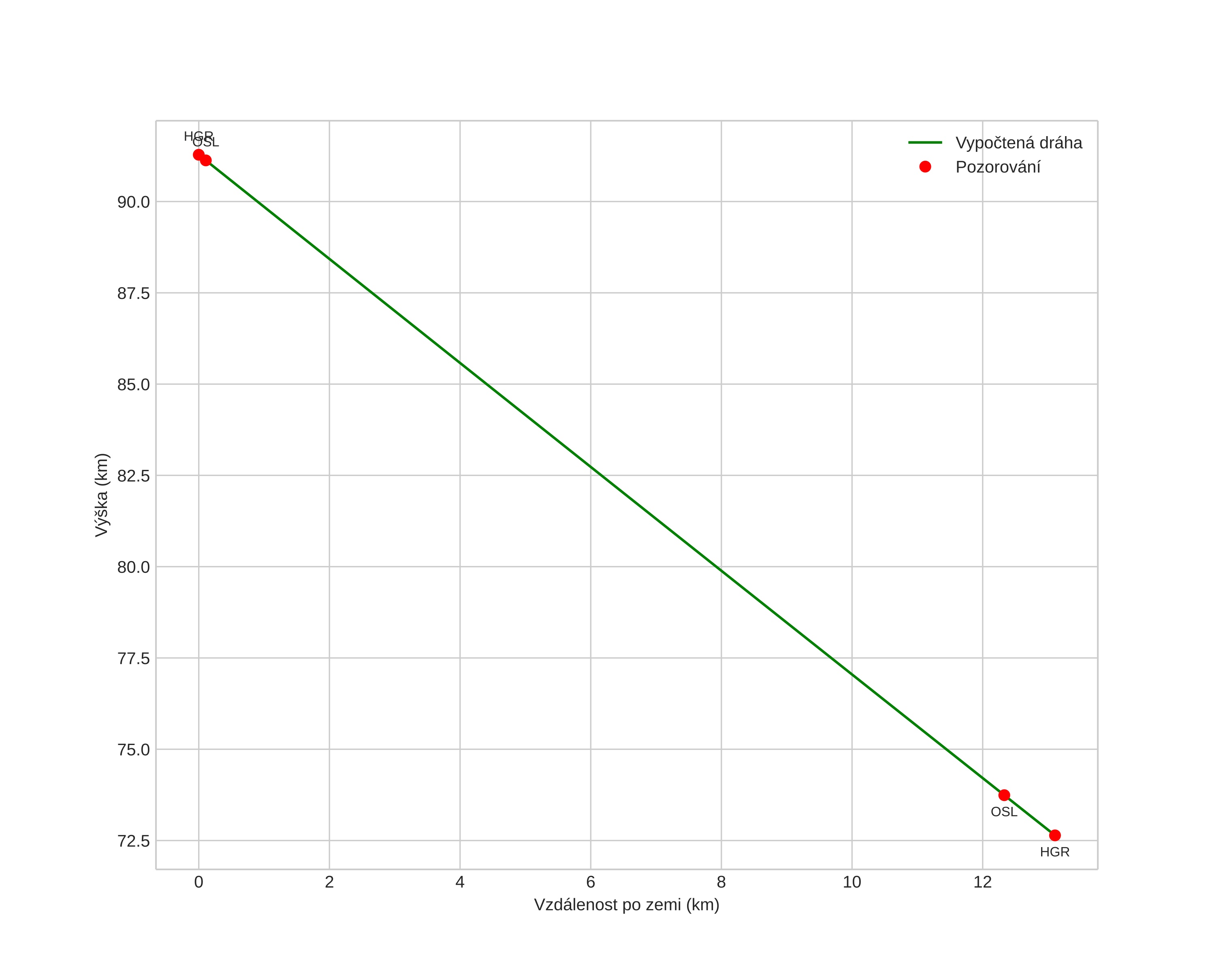
height profile
Atmosférická dráha meteoru:
Počáteční výška: 91,0 km
Konečná výška: 72,7 km
Počáteční poloha: 60,794N 10,104E
Konečná poloha: 60,858N 9,898E
Směr: 302,5°
Sklon: 54,2°
VstupnĂ­ rychlost: 40,2 km/s
Rektascenze radiantu: 07:28 (112,2°)
Deklinace radiantu: 33,1°
MeteorickĂ˝ roj: Geminidy
Elementy dráhy meteoroidu:
Vzdálenost v periheliu: 0,121 AU
Excentricita: 0,938
Sklon dráhy: 30,5°
Délka vzestupného uzlu: 261,1°
Argument perihelia: 324,3°
Střední anomálie: 347,5°
Epocha: 2024 DEC 12 22:56:13
orbit plot

NeinteraktivnĂ­ graf | InteraktivnĂ­ graf

position vs time
speed and acceleration