🇳🇴 🇬🇧 🇩🇪 🇨🇿 🇫🇮

Meteor Dokkan yllä 2024-12-12 22:56:13 UTC

KML-tiedosto  |  Interaktiivinen kartta

Kartta näyttää meteorin suuntahavainnot. Vaaleammat viivat näyttävät suunnat havaintoasemilta meteorin ilmestyessä, ja tummemmat viivat näyttävät, missä se viimeksi nähtiin. Sininen nuoli näyttää meteorin näkyvän lennon.

static map
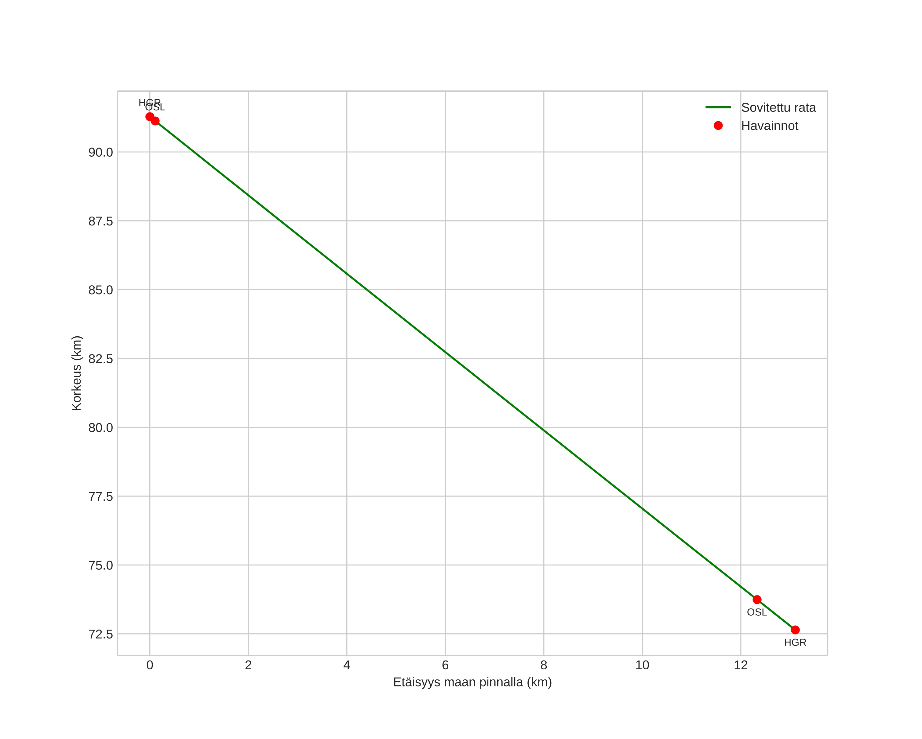
height profile
Meteorin ilmakehärata:
Alkukorkeus: 91,0 km
Loppukorkeus: 72,7 km
Alkupiste: 60,794N 10,104E
Loppupiste: 60,858N 9,898E
Suunta: 302,5°
Kallistuskulma: 54,2°
Tulonopeus: 40,2 km/s
Radiantin R,A,: 07:28 (112,2°)
Radiantin Dekl,: 33,1°
Meteoriparvi: Geminidit
Meteoroidin rataelementit:
Perihelietäisyys: 0,121 AU
Eksentrisyys: 0,938
Inklinaatio: 30,5°
Nousevan solmun pituus: 261,1°
Perihelin argumentti: 324,3°
Keskianomalia: 347,5°
Epookki: 2024 DEC 12 22:56:13
orbit plot

Ei-interaktiivinen kuvaaja | Interaktiivinen kuvaaja

position vs time
speed and acceleration