🇳🇴 🇬🇧 🇩🇪 🇨🇿 🇫🇮

Meteor, poloha: Hov 2024-12-14 06:20:00 UTC

Soubor KML  |  InteraktivnĂ­ mapa

Mapa zobrazuje dráhy meteoru. Světlejší čáry ukazují směry od pozorovacích stanic při objevení se meteoru a tmavší čáry, kde byl naposledy viděn. Modrá šipka značí viditelnou dráhu meteoru.

static map
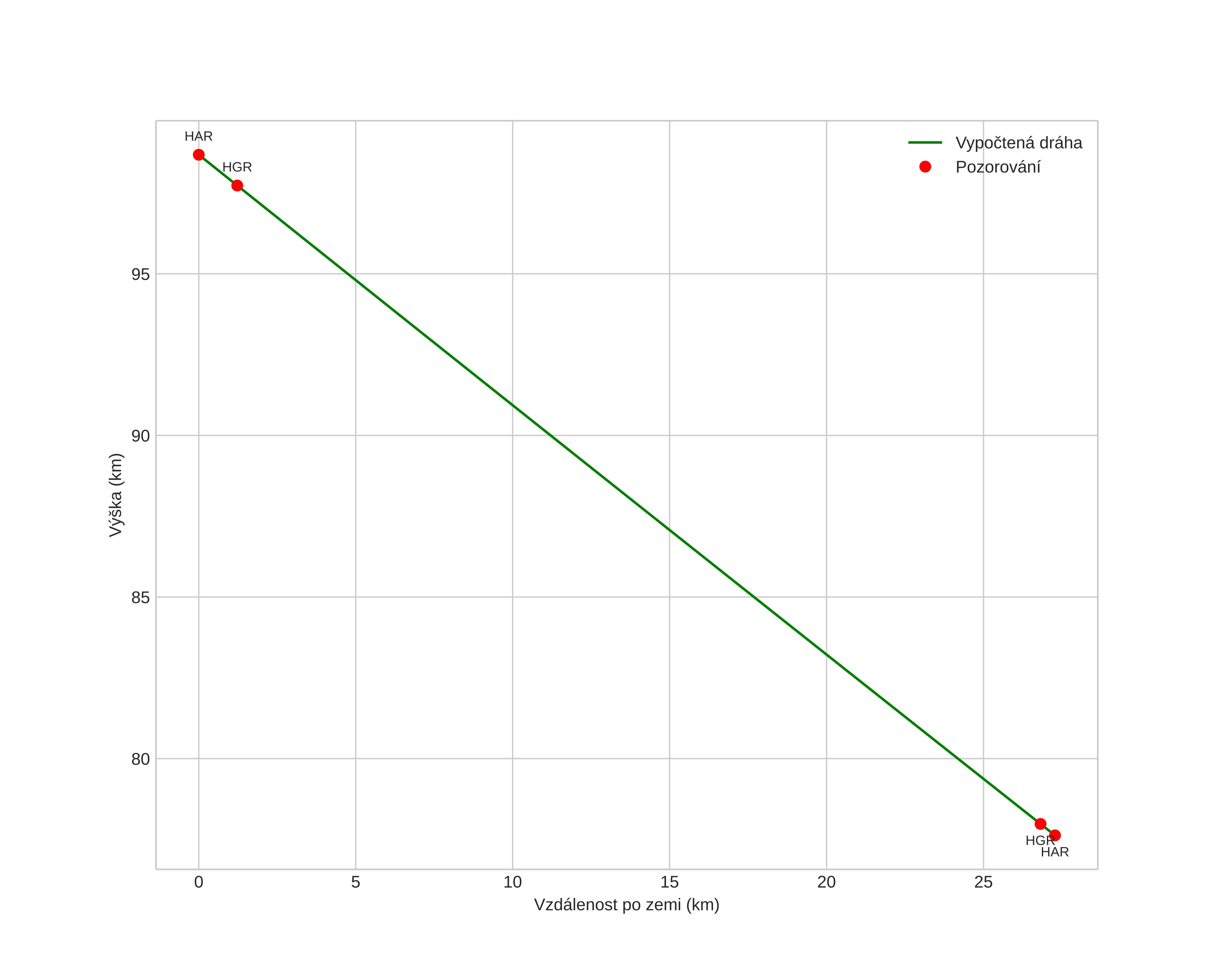
height profile
Atmosférická dráha meteoru:
Počáteční výška: 98,9 km
Konečná výška: 77,5 km
Počáteční poloha: 60,569N 9,720E
Konečná poloha: 60,547N 10,216E
Směr: 94,8°
Sklon: 38,2°
VstupnĂ­ rychlost: 37,3 km/s
Rektascenze radiantu: 07:36 (114,2°)
Deklinace radiantu: 33,6°
MeteorickĂ˝ roj: Geminidy
Elementy dráhy meteoroidu:
Vzdálenost v periheliu: 0,140 AU
Excentricita: 0,906
Sklon dráhy: 28,0°
Délka vzestupného uzlu: 262,4°
Argument perihelia: 323,5°
Střední anomálie: 340,3°
Epocha: 2024 DEC 14 06:20:00
orbit plot

NeinteraktivnĂ­ graf | InteraktivnĂ­ graf

position vs time
speed and acceleration