🇳🇴 🇬🇧 🇩🇪 🇨🇿 🇫🇮

Meteor Hovin yllä 2024-12-14 06:20:00 UTC

KML-tiedosto  |  Interaktiivinen kartta

Kartta näyttää meteorin suuntahavainnot. Vaaleammat viivat näyttävät suunnat havaintoasemilta meteorin ilmestyessä, ja tummemmat viivat näyttävät, missä se viimeksi nähtiin. Sininen nuoli näyttää meteorin näkyvän lennon.

static map
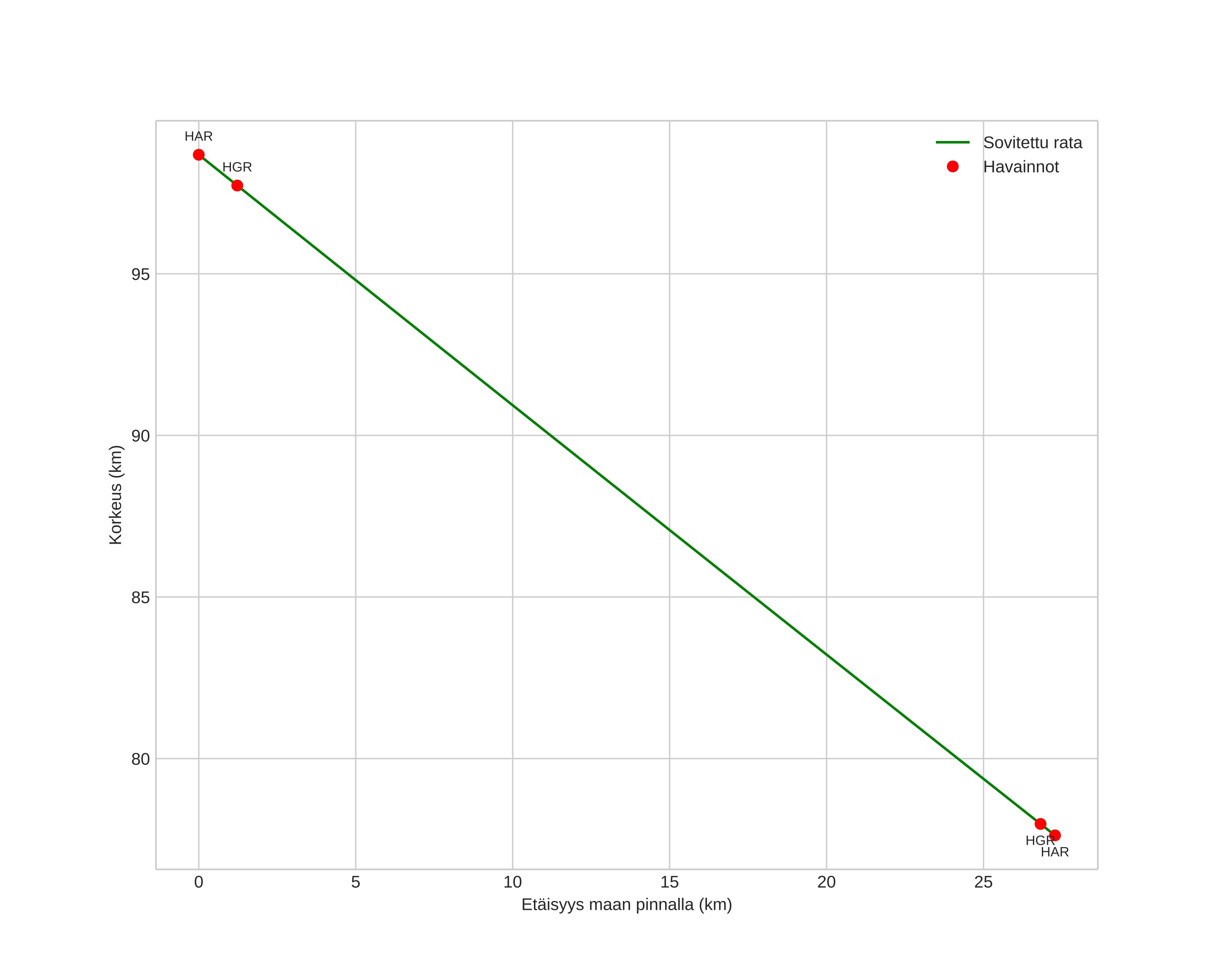
height profile
Meteorin ilmakehärata:
Alkukorkeus: 98,9 km
Loppukorkeus: 77,5 km
Alkupiste: 60,569N 9,720E
Loppupiste: 60,547N 10,216E
Suunta: 94,8°
Kallistuskulma: 38,2°
Tulonopeus: 37,3 km/s
Radiantin R,A,: 07:36 (114,2°)
Radiantin Dekl,: 33,6°
Meteoriparvi: Geminidit
Meteoroidin rataelementit:
Perihelietäisyys: 0,140 AU
Eksentrisyys: 0,906
Inklinaatio: 28,0°
Nousevan solmun pituus: 262,4°
Perihelin argumentti: 323,5°
Keskianomalia: 340,3°
Epookki: 2024 DEC 14 06:20:00
orbit plot

Ei-interaktiivinen kuvaaja | Interaktiivinen kuvaaja

position vs time
speed and acceleration