🇳🇴 🇬🇧 🇩🇪 🇨🇿 🇫🇮

Meteor, poloha: Stavern 2024-12-14 15:58:55 UTC

Soubor KML  |  InteraktivnĂ­ mapa

Mapa zobrazuje dráhy meteoru. Světlejší čáry ukazují směry od pozorovacích stanic při objevení se meteoru a tmavší čáry, kde byl naposledy viděn. Modrá šipka značí viditelnou dráhu meteoru.

static map
height profile
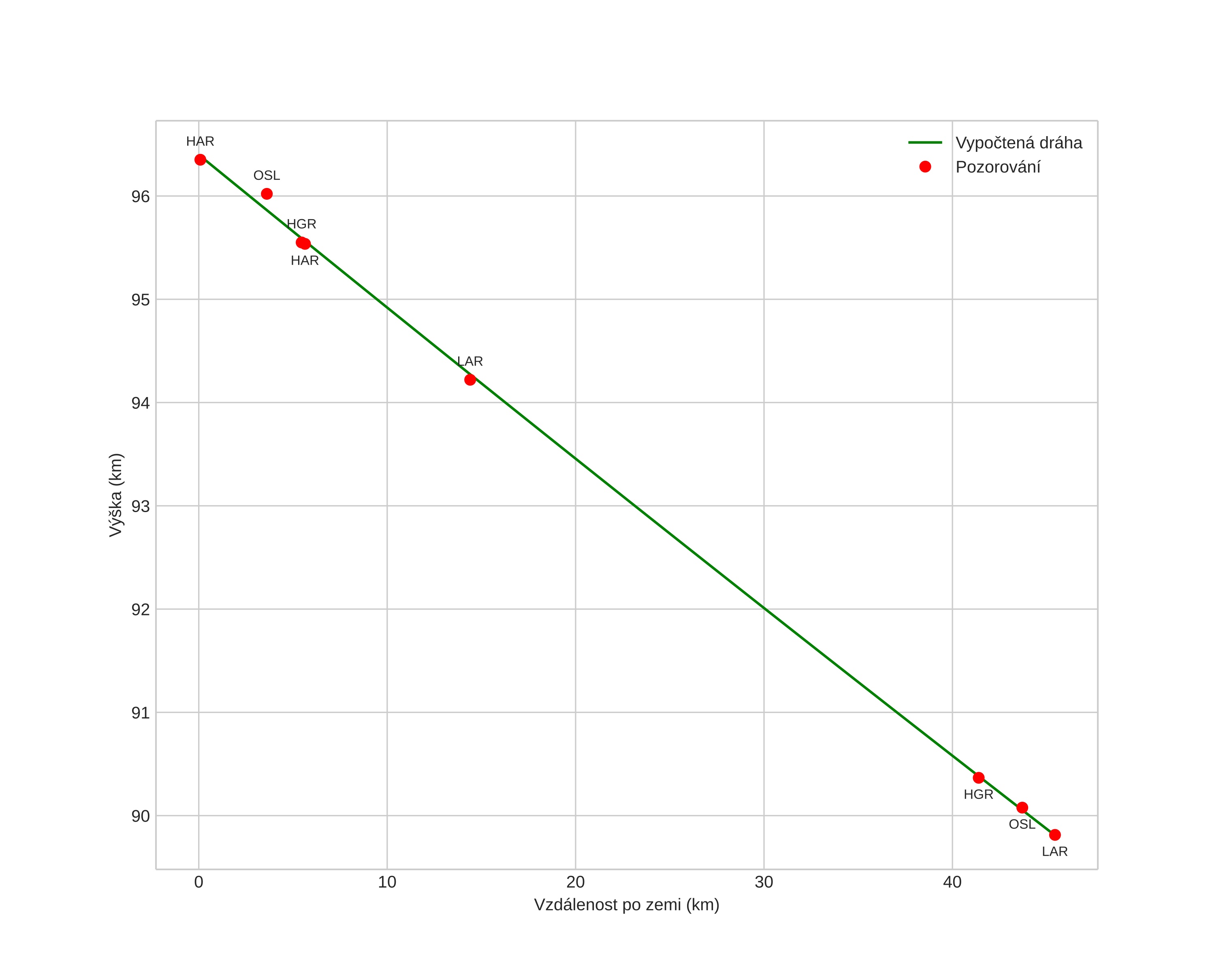
Atmosférická dráha meteoru:
Počáteční výška: 97,3 km
Konečná výška: 89,9 km
Počáteční poloha: 59,101N 10,702E
Konečná poloha: 58,736N 10,244E
Směr: 213,1°
Sklon: 8,7°
VstupnĂ­ rychlost: 32,0 km/s
Rektascenze radiantu: 07:39 (114,9°)
Deklinace radiantu: 30,9°
MeteorickĂ˝ roj: Geminidy
Elementy dráhy meteoroidu:
Vzdálenost v periheliu: 0,167 AU
Excentricita: 0,841
Sklon dráhy: 16,8°
Délka vzestupného uzlu: 262,8°
Argument perihelia: 324,7°
Střední anomálie: 322,6°
Epocha: 2024 DEC 14 15:58:55
orbit plot

NeinteraktivnĂ­ graf | InteraktivnĂ­ graf

position vs time
speed and acceleration