🇳🇴 🇬🇧 🇩🇪 🇨🇿 🇫🇮

Meteor über Stavern 2024-12-14 15:58:55 UTC

KML-Datei  |  Interaktive Karte

Die Karte zeigt die Peilungen für den Meteor. Die helleren Linien zeigen die Richtungen von den Beobachtungsorten beim Erscheinen des Meteors, und die dunkleren Linien, wo er zuletzt gesehen wurde. Der blaue Pfeil zeigt die sichtbare Bahn des Meteors.

static map
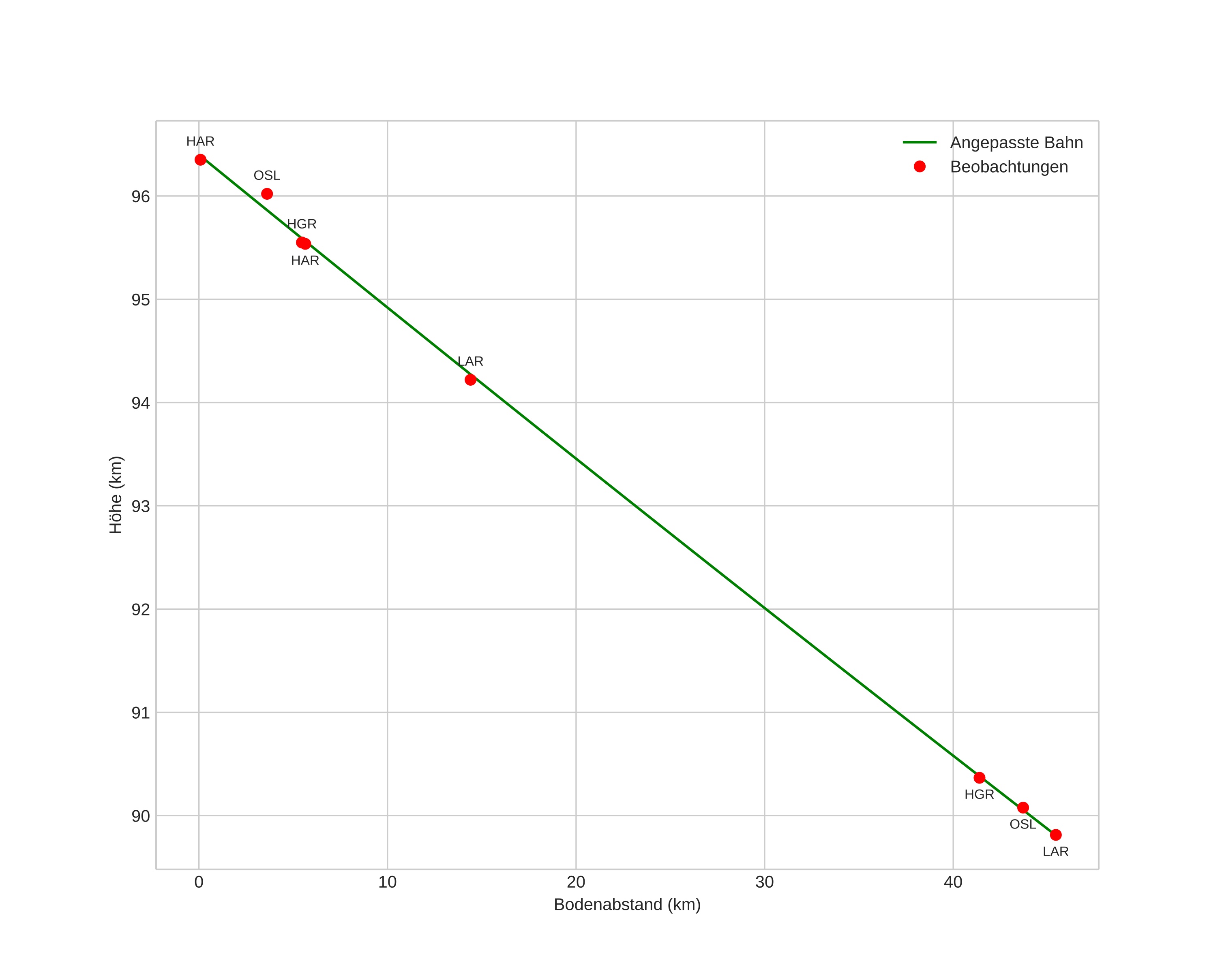
height profile
Atmosphärische Bahn des Meteors:
Anfangshöhe: 97,3 km
Endhöhe: 89,9 km
Startposition: 59,101N 10,702E
Endposition: 58,736N 10,244E
Richtung: 213,1°
Neigungswinkel: 8,7°
Eintrittsgeschwindigkeit: 32,0 km/s
Rektaszension des Radianten: 07:39 (114,9°)
Deklination des Radianten: 30,9°
Meteorstrom: Geminiden
Bahnelemente des Meteoroiden:
Periheldistanz: 0,167 AU
Exzentrizität: 0,841
Inklination: 16,8°
Länge des aufsteigenden Knotens: 262,8°
Argument des Perihels: 324,7°
Mittlere Anomalie: 322,6°
Epoche: 2024 DEC 14 15:58:55
orbit plot

Nicht-interaktives Diagramm | Interaktives Diagramm

position vs time
speed and acceleration