🇳🇴 🇬🇧 🇩🇪 🇨🇿 🇫🇮

Meteor, poloha: Reinsvoll 2024-12-14 16:51:06 UTC

Soubor KML  |  InteraktivnĂ­ mapa

Mapa zobrazuje dráhy meteoru. Světlejší čáry ukazují směry od pozorovacích stanic při objevení se meteoru a tmavší čáry, kde byl naposledy viděn. Modrá šipka značí viditelnou dráhu meteoru.

static map
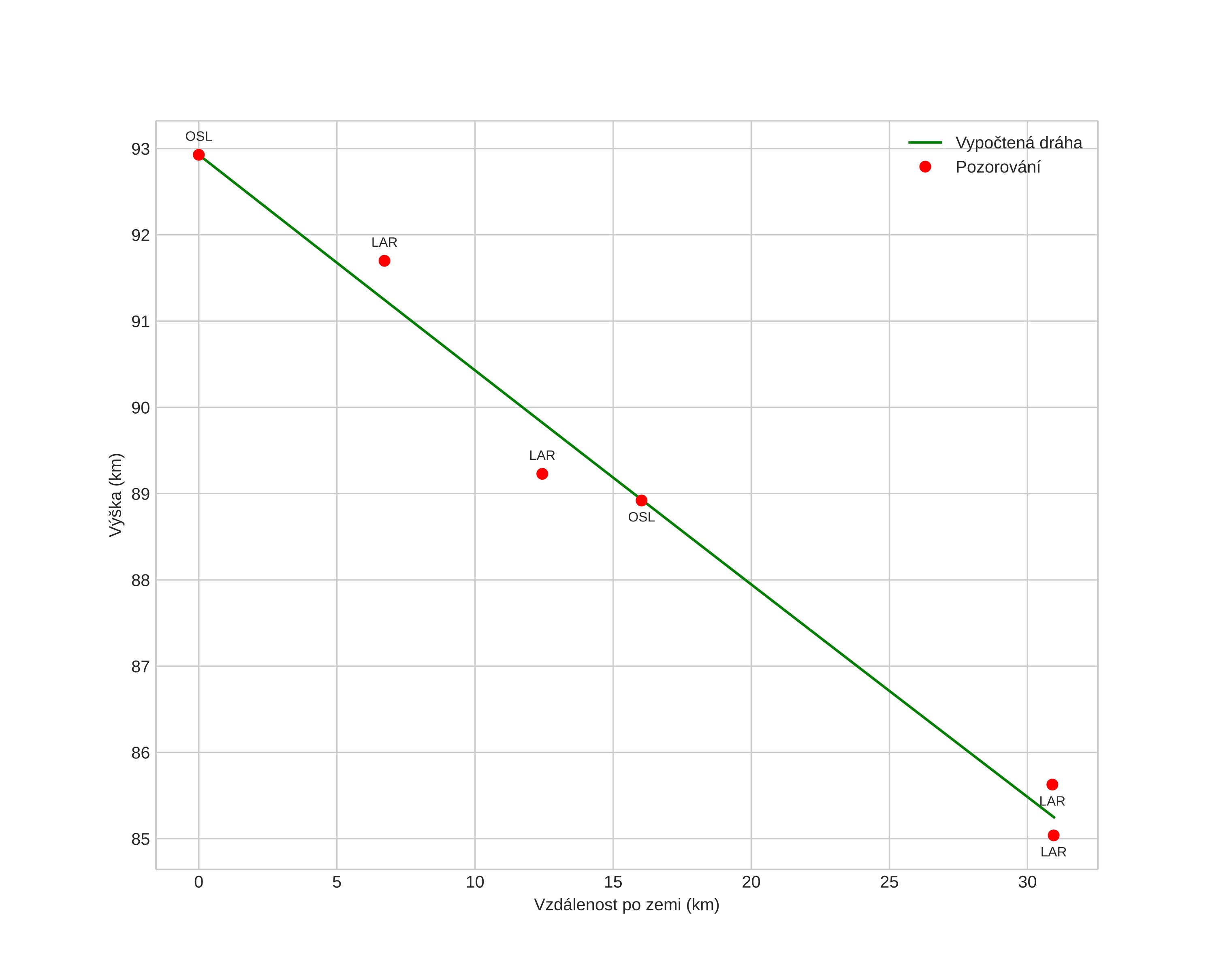
height profile
Atmosférická dráha meteoru:
Počáteční výška: 94,9 km
Konečná výška: 86,9 km
Počáteční poloha: 60,766N 10,989E
Konečná poloha: 60,557N 10,563E
Směr: 225,1°
Sklon: 13,7°
VstupnĂ­ rychlost: 35,1 km/s
Rektascenze radiantu: 07:34 (113,6°)
Deklinace radiantu: 30,8°
MeteorickĂ˝ roj: Geminidy
Elementy dráhy meteoroidu:
Vzdálenost v periheliu: 0,148 AU
Excentricita: 0,884
Sklon dráhy: 19,1°
Délka vzestupného uzlu: 262,8°
Argument perihelia: 324,2°
Střední anomálie: 334,0°
Epocha: 2024 DEC 14 16:51:06
orbit plot

NeinteraktivnĂ­ graf | InteraktivnĂ­ graf

position vs time
speed and acceleration